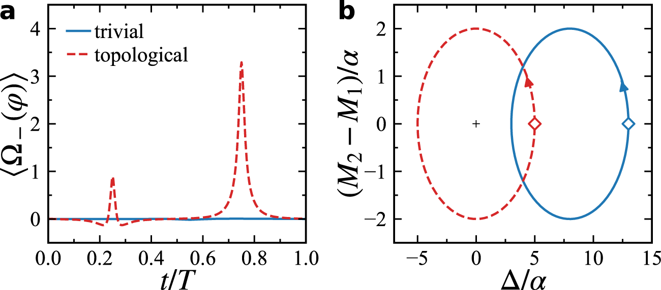
Fig. 2: Dynamic evolution in one period of pump cycling.
From: Quantum emulation of topological magneto-optical effects using ultracold atoms

a Evolution of the averaged Berry curvature 〈Ω−(φ)〉. The blue-solid and red-dashed lines show the cases of the trivial pump with Δ0 = 8α and the topological pump with Δ0 = 0, respectively. The pump starts at ti = 0 and ends at tf = T. We set M0 = − 0.2α, \(\alpha ^{\prime} =5\alpha\), and φ0 = 0. b The corresponding trajectories of the evolution in the parameterized plane between Δ(t) and M2(t) − M1(t). The diamonds mark the positions before the pump, and the arrows show the directions of the trajectories. The plus symbol marks the singular point where the Berry phase is ill defined. Only the trajectory of the topological pump encloses the singular point.