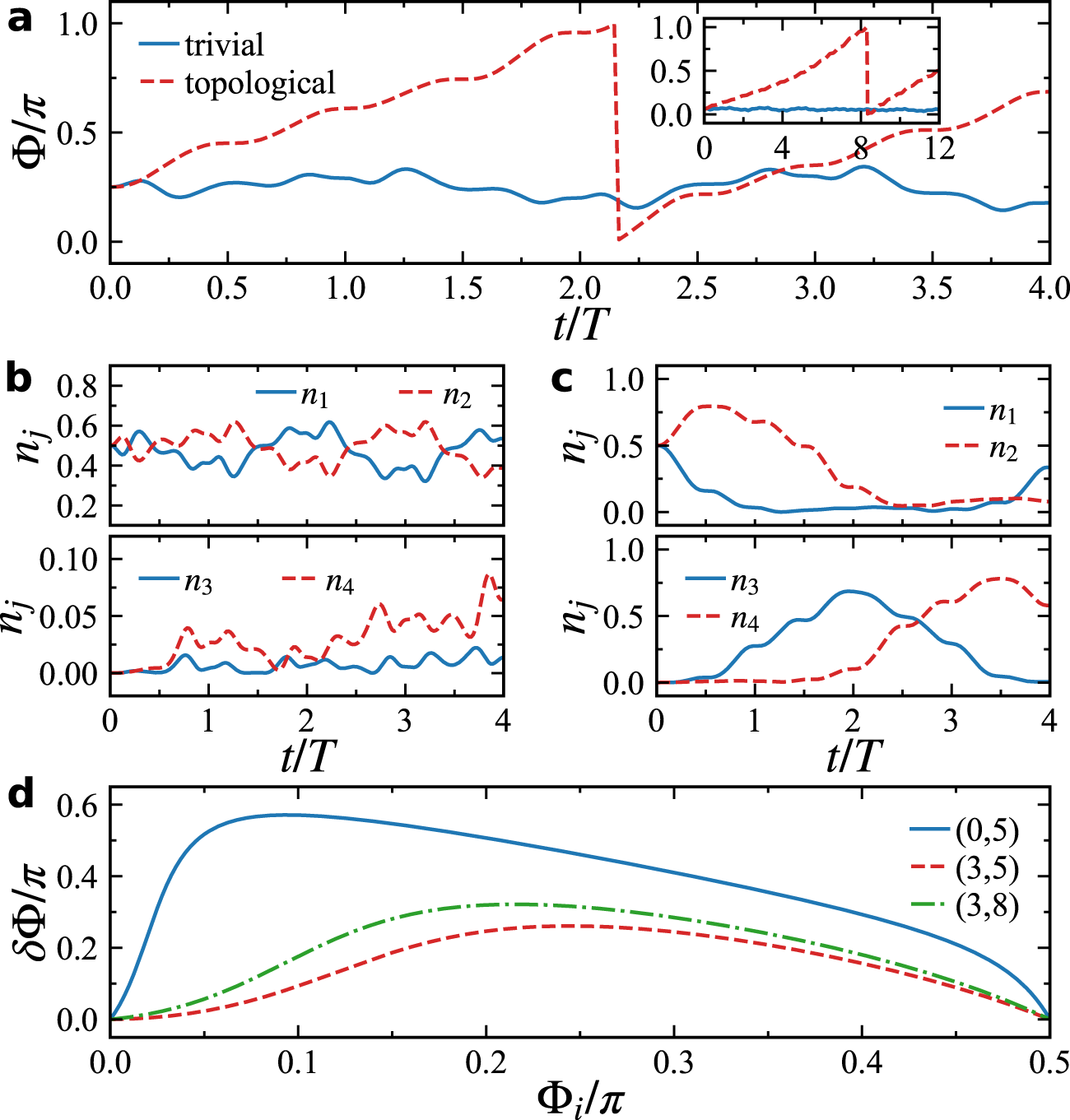
Fig. 3: Numerical results of the MO rotation.
From: Quantum emulation of topological magneto-optical effects using ultracold atoms

a Evolution of the polarized angle Φ for the trivial (blue-solid lines) and topological pump (red-dashed lines). We set the initial polarized angle Φi = π/4 at ti = 0. Other parameters are the same with Fig. 2. The inner panel of (a) shows the case of Ns = 16. b, c The evolution of the atomic densities in the (b) trivial and (c) topological pump. nj stands for the density occupied in \(\left|j\right\rangle\). d The topological MO rotation δΦ = Φf − Φi as a function of the initial polarized angle Φi for various parameter sets (Δ0,\(\alpha ^{\prime}\)). The evolution processes four periods of pump cycling (i.e., tf − ti = 4T).