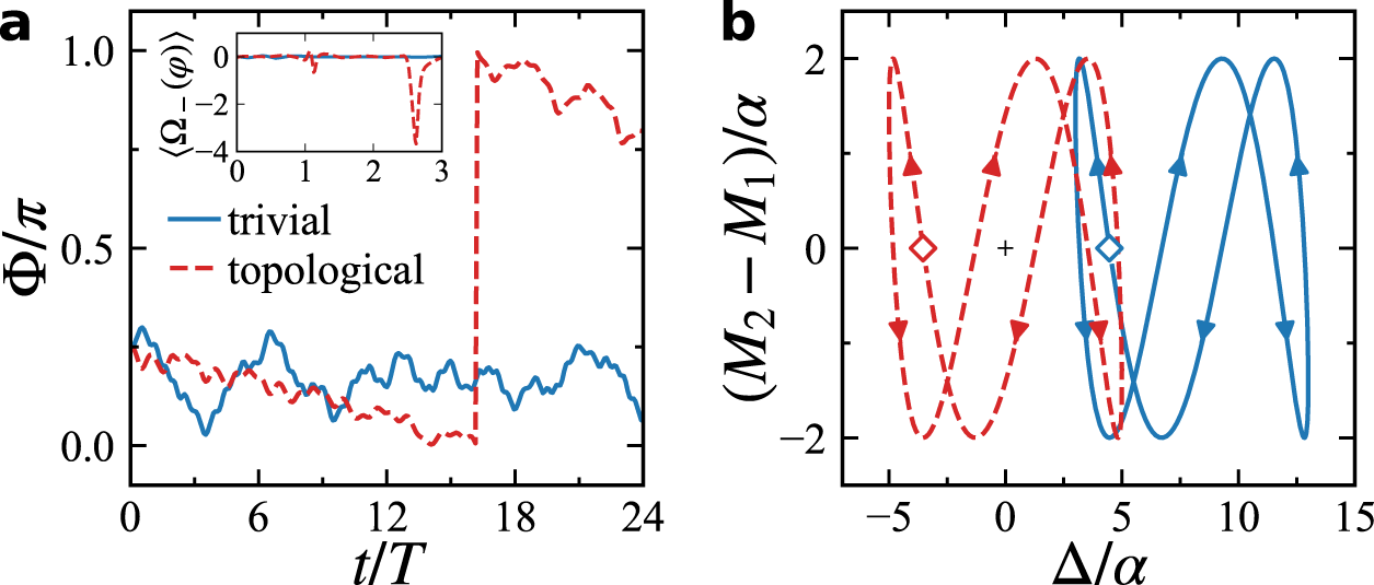
Fig. 4: Dynamic evolution with the mismatched pump frequencies.
From: Quantum emulation of topological magneto-optical effects using ultracold atoms

a Evolution of Φ for \(\nu ^{\prime} =\nu /3\). The blue-solid (red-dashed) lines correspond to the trivial (topological) pump. The inner panel shows the evolution of 〈Ω−(φ)〉. The period of the pump cycling changes to 3T when \(\nu ^{\prime} =\nu /3\). We set φ0 = 3π/4 and Φi = π/4. Other parameters are the same with Fig. 2. b The corresponding trajectories in the parameterized plane.