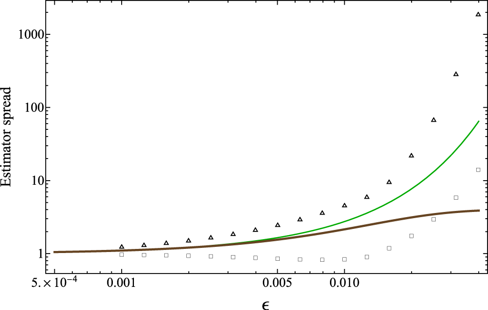
Fig. 5: The estimator spreads to mitigate local dephasing noise on a 50-qubit system.

Solid green curve: \({{\Delta }}{e}_{\max }\) for probabilistic error cancellation and the lower bound for unbiased (1, 1)-mitigation protocols, which coincide as explained in the main text. Brown curve: ΔeA with \(A=\frac{1}{2}{\otimes }_{i = 1}^{n}{X}_{i}\) for 2-copy virtual distillation with GHZ state inputs and the lower bound for (2, 1)-mitigation protocols with the same bias, which coincide as explained in Supplementary Note 2. Triangles and rectangles: ΔeA with \(A=\frac{1}{2}{\otimes }_{i = 1}^{n}{X}_{i}\) for 11th order noise extrapolation with GHZ state inputs (triangles) and a lower bound for (1, 12)-mitigation protocols with the same bias (rectangles).