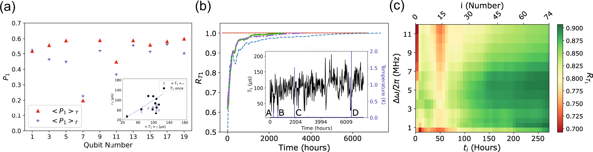
Fig. 5: Correlation between different T1 estimators.

a Comparison of \({\langle {P}_{1}\rangle }_{\omega ,t}\) at 50 μs and \({\langle {P}_{1}\rangle }_{T}\) averaged for ~9 months and evaluated at a τ of 53 μs decay time. \({\langle {P}_{1}\rangle }_{\omega ,t}\), is averaged over Δω/2π = 5 MHz after a single measurement that took ~ 20 min. (inset) A scatter plot using \({\langle {T}_{1}\rangle }_{T}\)’s averaged over 9 months of measurement as the dependent variable and \({\langle {T}_{1}\rangle }_{\omega ,t}\) or T1s from a single day. The line is a guide to the eye showing a 1:1 correlation. b The Pearson R dependence on time averaging of the T1’s of the odd numbered qubits up to time, T, for three cases: (i) the entire time series (dash), (ii) the time series between temperature excursion B and D (dash-dot), lettered locations indicated in the inset, and (iii) the time series between C and D for which no temperature excursions were recorded (solid). The intermediate time series are shifted in time index to compare more directly at short times with the full-time series. The differences in R are within the standard deviation calculated for sampling T1 time series with a Gaussian-distributed range of values, see supplemental information S4. (inset) The T1 (black, left) and mixing chamber temperature (blue, right) time series for Q13. Spacing of measurements is non-uniform. The minimum spacing is ~ 24 h apart. Each temperature excursion is labeled with a letter. c Pearson correlation, R, dependence on time slice averaging and frequency range, Δω, of the odd numbered qubits.