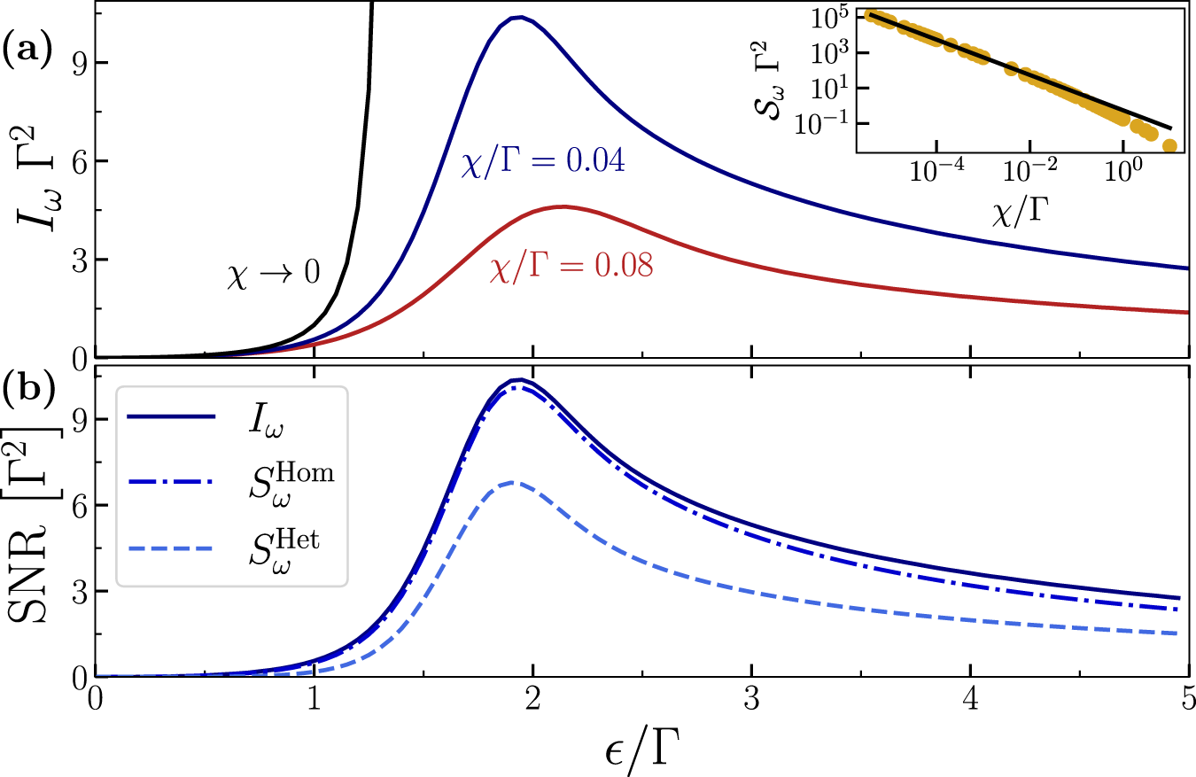
Fig. 2: Metrological performance of the critical parametric quantum sensor.

(a) QFI for the estimation of ω as a function of ϵ, computed for ω/Γ = 1 and various values of χ/Γ. In the Gaussian case (χ → 0), the QFI diverges at \(\epsilon =\sqrt{{\omega }^{2}+{{{\Gamma }}}^{2}}\). For finite values of χ, the QFI has a maximum. In the inset, we show that \({{{{\mathcal{S}}}}}_{\omega }=\mathop{\max }\nolimits_{\epsilon }{S}_{\omega }^{{{{\rm{Hom}}}}} \sim c{({{\Gamma }}\chi )}^{-1}\), with c ≃ 0.55. Since \(N={{\Theta }}(\sqrt{{\chi }^{-1}})\), the Heisenberg scaling is reached already for χ/Γ ≲ 10−2. (b) SNR for the homodyne (\({S}_{\omega }^{{{{\rm{Hom}}}}}\)) and heterodyne detection (\({S}_{\omega }^{{{{\rm{Het}}}}}\)) at ω/Γ = 1 and χ/Γ = 0.04. Homodyne detection virtually saturates the QFI.