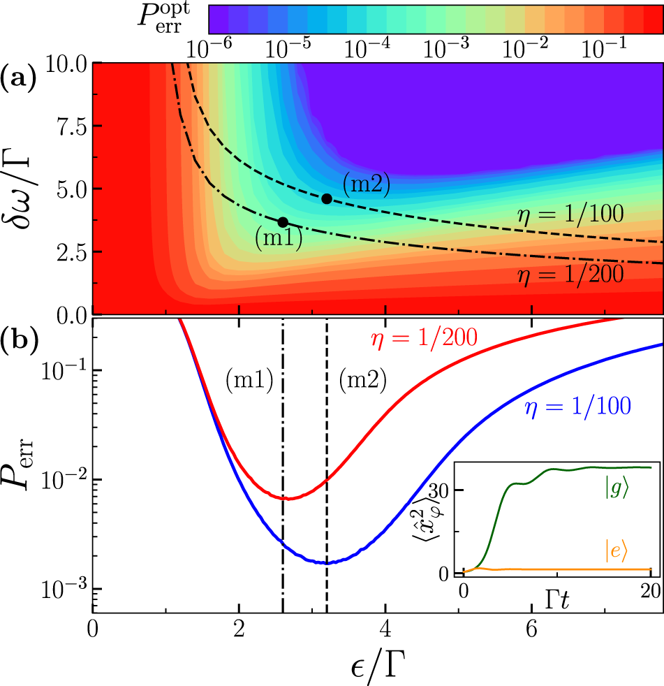
Fig. 3: Qubit detection performance with a critical parametric quantum sensor.

(a) Error probability map with respect to δω/Γ = g2/(ΓΔ) and ϵ/Γ, for ω = 0 and χ/Γ = 0.08. The dashed lines represent different values of the dispersive parameter η = Nδω2/(4g2), where \(N=\max \{{N}_{\left\vert g\right\rangle },{N}_{\left\vert e\right\rangle }\}\) and we have fixed g/Γ = 102 to be in the strong—but not ultrastrong—coupling regime. For η = 10−2, we can reach error probability values as low as 10−4 with the optimal measurement. (b) Error probability for homodyne detection at the optimal points and optimal angle φ for different values of η. The inset shows the separation in time of \(\langle {\hat{x}}_{\varphi }^{2}\rangle\) for the normal and symmetry-broken phases. The steady-state value is reached at Γt ≃ 10.