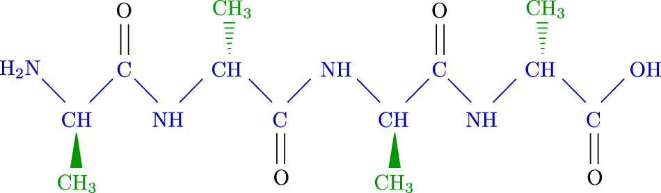
Fig. 1: Alanine tetrapeptide.
From: Peptide conformational sampling using the Quantum Approximate Optimization Algorithm

Blue: backbone chain; green: side chains.
From: Peptide conformational sampling using the Quantum Approximate Optimization Algorithm

Blue: backbone chain; green: side chains.