Fig. 1: Spectral kissing and localization.
From: Spectral kissing and its dynamical consequences in the squeeze-driven Kerr oscillator

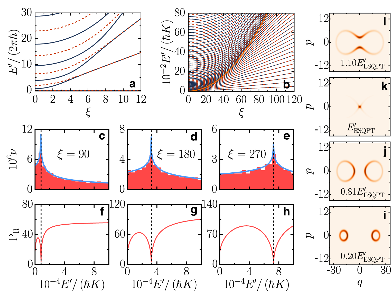
a Energy levels as a function of the control parameter reproducing the experimental data59 with K/(2π) = 0.32 MHz and b \({E}^{{\prime}}/(\hslash K)\) for larger values of ξ. Solid lines are for the even parity sector and dashed lines for odd parity. The bright orange line in (b) marks the energy of the ESQPT, as given in Eq. (3). c–e Normalized density of states and f–h participation ratio for the eigenstates in the Fock basis for the values of ξ indicated in (c–e); even parity sector. Numerical (shade) and analytical (solid line) data are shown in (c–e). The vertical dashed line in (c–h) is the ESQPT energy from Eq. (3). i–l Husimi functions for different eigenstates and ξ = 180.