Thank you for visiting nature.com. You are using a browser version with limited support for CSS. To obtain
the best experience, we recommend you use a more up to date browser (or turn off compatibility mode in
Internet Explorer). In the meantime, to ensure continued support, we are displaying the site without styles
and JavaScript.
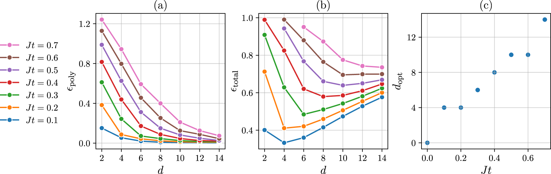
a Accuracy of QSP angle optimization, Eq. (11), using pyqsp50. b Upper bound to the infidelity, Eq. (16), as a function of degree d and evolution time Jt. c For each evolution time, the optimal degree dopt is the degree that minimizes the total error ϵtotal in b.