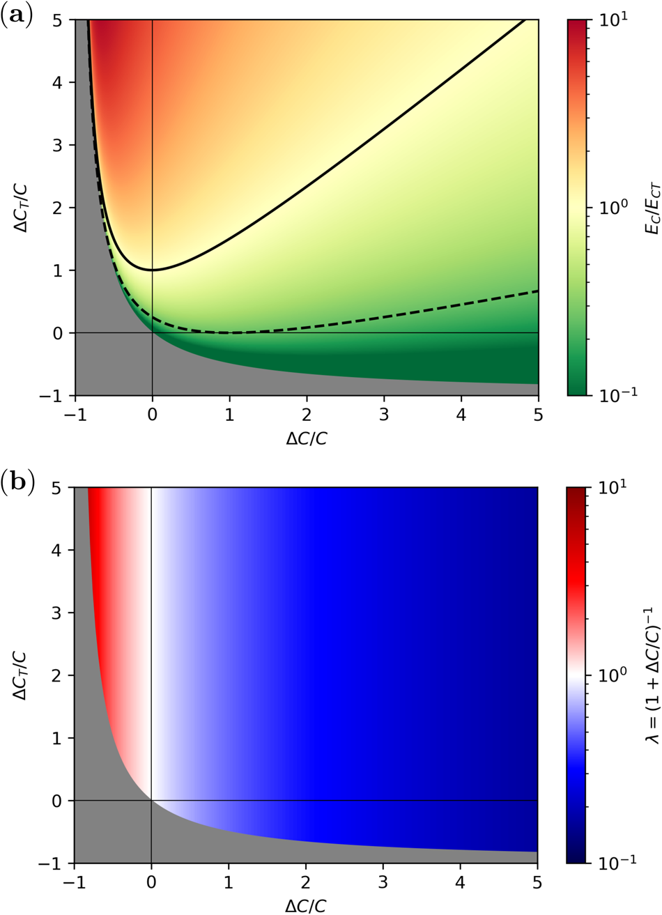
Fig. 2: Evaluation of allowed parameter regimes to achieve a dominant quasiperiodic capacitance.

Depicted are the achievable parameter values for (a) the ratio EC/ECT and (b) λ as a function of the capacitances of the superconducting islands. The grey areas are illegal instability-regions marked by a negative charging energy. Note that we could also achieve negative values for λ when choosing C to be negative. a The values below EC < 0.1 ECT are cut off and depicted in the same shade of green. The solid black line marks the border for which EC = ECT, thus, where the low-energy approximation breaks down. The dashed line is at a value of EC/ECT = 1/4 under which ES can exceed EC.