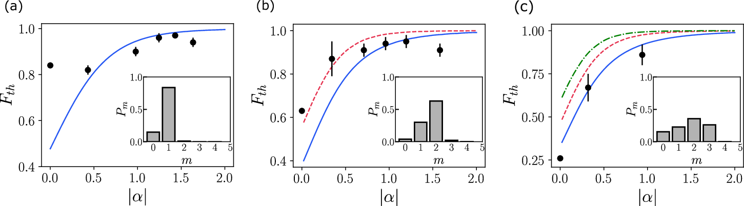
Fig. 6: Fidelity thresholds Fth for certification of stellar ranks one (blue solid lines), two (red dashed lines) and three (green dot-dashed line) by fidelity with n-photon-added coherent state.
From: Experimental preparation of multiphoton-added coherent states of light

The thresholds are plotted for n = 1 (a), n = 2 (b) and n = 3 (c). Black dots indicate the experimentally obtained fidelities, as listed in Table 1. The insets show the reconstructed photon number distributions Pm of the experimentally generated single-photon, two-photon, and three-photon Fock states. Fidelity of the generated Fock state \(\left\vert n\right\rangle\) is equal to Pn.