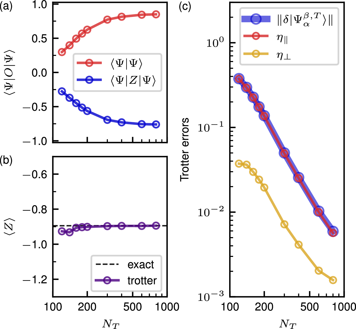
Fig. 8: Trotter Error resilience of QZMC.

a, b show \(\left\langle \Psi | \Psi \right\rangle\), \(\left\langle \Psi | Z| \Psi \right\rangle\), and \(\left\langle Z\right\rangle\) as functions of the total number of Trotter steps, for the one-qubit system considered in Fig. 2. In (a, b), Nν = 400 was used. c displays the total Trotter error \(| \left\vert \delta {\Psi }_{\alpha }^{\beta ,T}\right\rangle |\), the parallel component η∥, and the orthogonal component η⊥, plotted against the total number of Trotter steps. For (c), Nν = 4000 was used to reduce the statistical error. In all panels, we set Nα = 10 and β = 5.