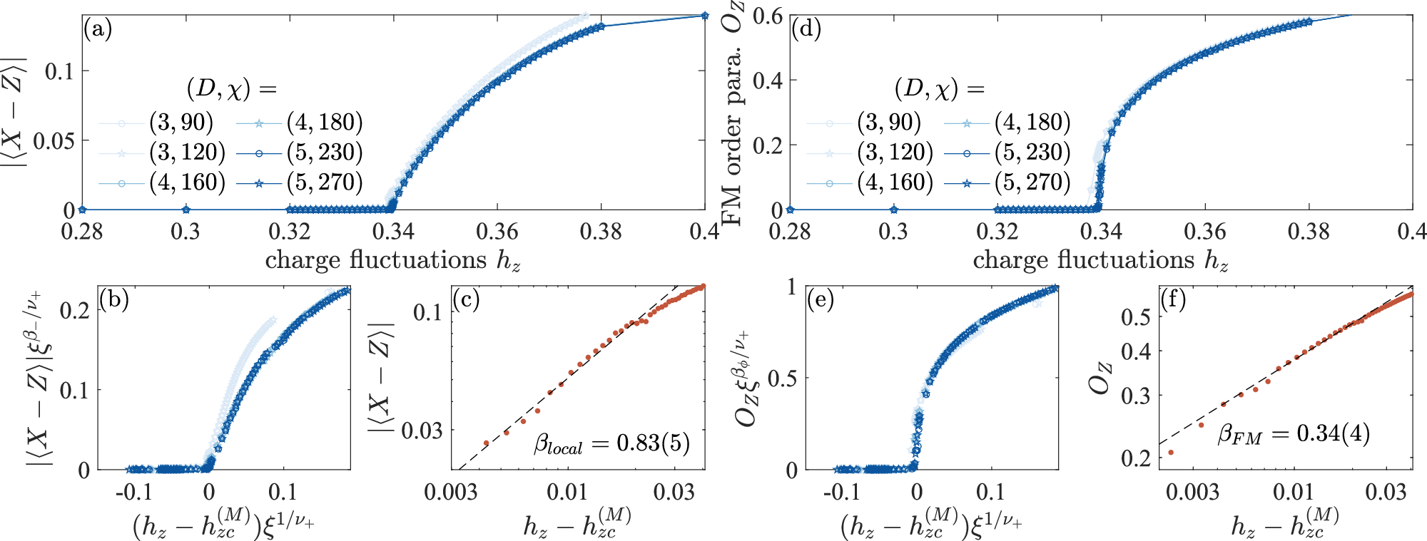
Fig. 3: Local duality symmetry-breaking and FM string order parameters of the variational iPEPS along the self-dual line hx = hz.

a Local order parameter ∣〈X − Z〉∣ from iPEPS with various bond dimensions (D, χ), see legend. b Data collapse of the local order parameter with ν+ = 0.67175(1) and β− = 0.83048(2). c Critical exponent βlocal, where ∣〈X − Z〉∣ is obtained by linear extrapolation in 1/D and \({h}_{zc}^{(M)}=0.3397(2)\). d FM string order parameter from iPEPS with various bond dimensions, see legend. e Data collapse of the FM string order parameter with βϕ = 0.34870(7). f Critical exponent βFM, where OZ is again obtained by linear extrapolation in 1/D.