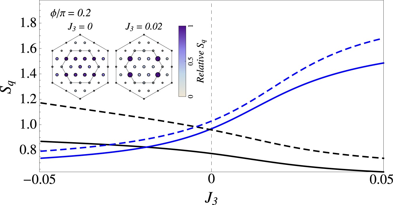
Fig. 3
From: Path to stable quantum spin liquids in spin-orbit coupled correlated materials

SSF at the Γ-points (black) and M-points (blue) in the BZ for small J3. Solid and dashed curves correspond to ϕ/π = 0.5 and 0.2, respectively. The inset shows the dramatic change in the relative intensity at the Γ-points and M-points for small J3 > 3