Fig. 2
From: Competing Coulomb and electron–phonon interactions in NbS2

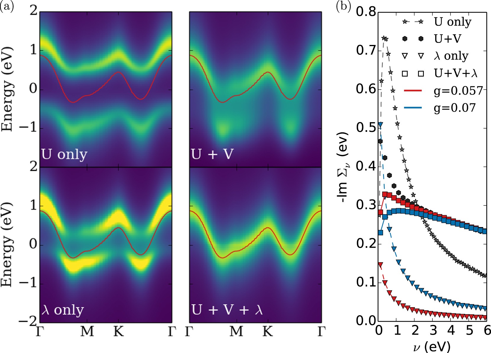
Spectral fingerprints of competing interactions. a Momentum and energy resolved spectral functions as obtained with the Dual Boson method involving the local Coulomb interaction only (top left), the full Coulomb interaction (top right), the electron–phonon interaction λ with g = 0.07 eV (bottom left) and all interaction terms (bottom right). The red line indicates the bare metallic band as obtained from DFT and shown in Fig. 1a. The top panel is calculated at 232 K, the other panels are calculated at 464 K. b The corresponding local self-energies as functions of Matsubara frequencies. Results for two different electron–phonon coupling strengths g1 = 0.057 eV and g2 = 0.07 eV are shown in red and blue, respectively