Fig. 5
From: Accelerated vortex dynamics across the magnetic 3D-to-2D crossover in disordered superconductors

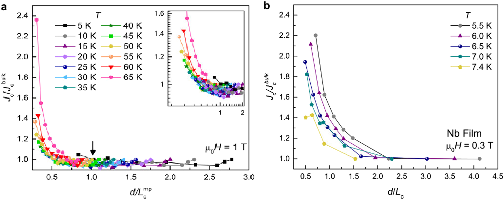
Increase in critical current with decreasing film thickness. a \(J_{\mathrm{c}}{\mathrm{/}}J_{\mathrm{c}}^{\mathrm{bulk}}\) at different temperatures versus the ratio of the film thickness to the effective pinning length, \(d{\mathrm{/}}L_{\mathrm{c}}^{\mathrm{mp}}(T)\). Here, Jc is extracted using a criterion of ti = 5 s (see Supplementary Information for details) and \(J_{\mathrm{c}}^{\mathrm{bulk}}\) ≡ Jc(d = 871 nm) at each specified temperature. Jc increases sharply when film becomes thinner than \(L_{\mathrm{c}}^{\mathrm{mp}}\). b \(J_{\mathrm{c}}{\mathrm{/}}J_{\mathrm{c}}^{\mathrm{bulk}}\) for a Nb film cut from the same substrate as the film in which creep was measured. Here \(J_{\mathrm{c}}^{\mathrm{bulk}}\) ≡ Jc(d = 500 nm) and the data displayed represents film thicknesses d = 500, 270, 164, 138, 111, 85, and 58 nm