Fig. 2
From: Confinement of magnetism in atomically thin La0.7Sr0.3CrO3/La0.7Sr0.3MnO3 heterostructures

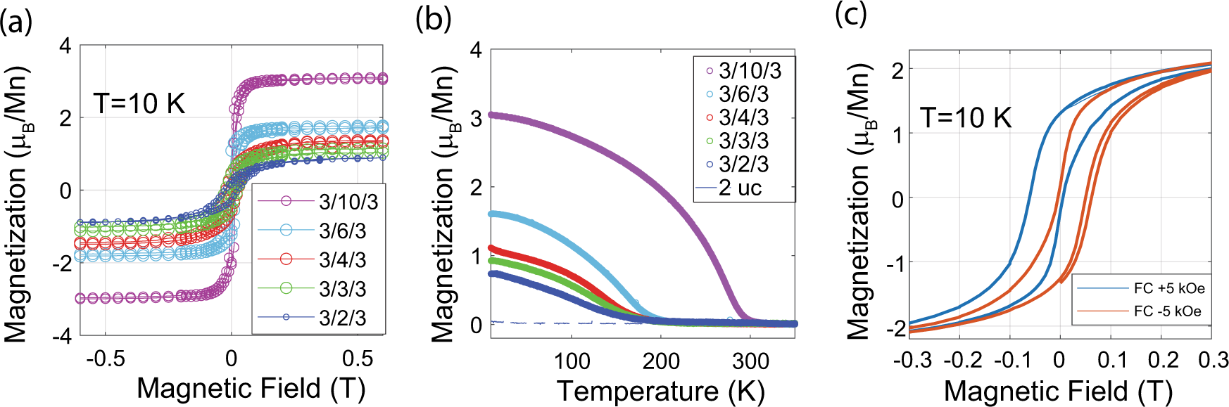
Effect of interface engineering on ferromagnetic ordering in LSCO (3)/LSMO (N)/LSCO (3) heterostructures. a Total magnetic moment per Mn as a function of applied magnetic field for 3/N/3 LSCO structures measured at 10 K. The diamagnetic contribution of the SrTiO3 substrate has been subtracted. b Comparison of temperature-dependent magnetization for a 2 uc LSMO film and 3/N/3 heterostructures grown on (001) oriented SrTiO3 where N = 2,3,4,6,10 unit cells. The curves are measured on warming in an applied in-plane field of 1 KOe. c Magnetic hysteresis loops of a [LSCO (2)/LSMO (4)] × 6 superlattice measured at 10 K by SQUID. The sample was cooled down from the room temperature in the presence of ± 0.5 T magnetic field