Fig. 3
From: Persistence of spin memory in a crystalline, insulating phase-change material

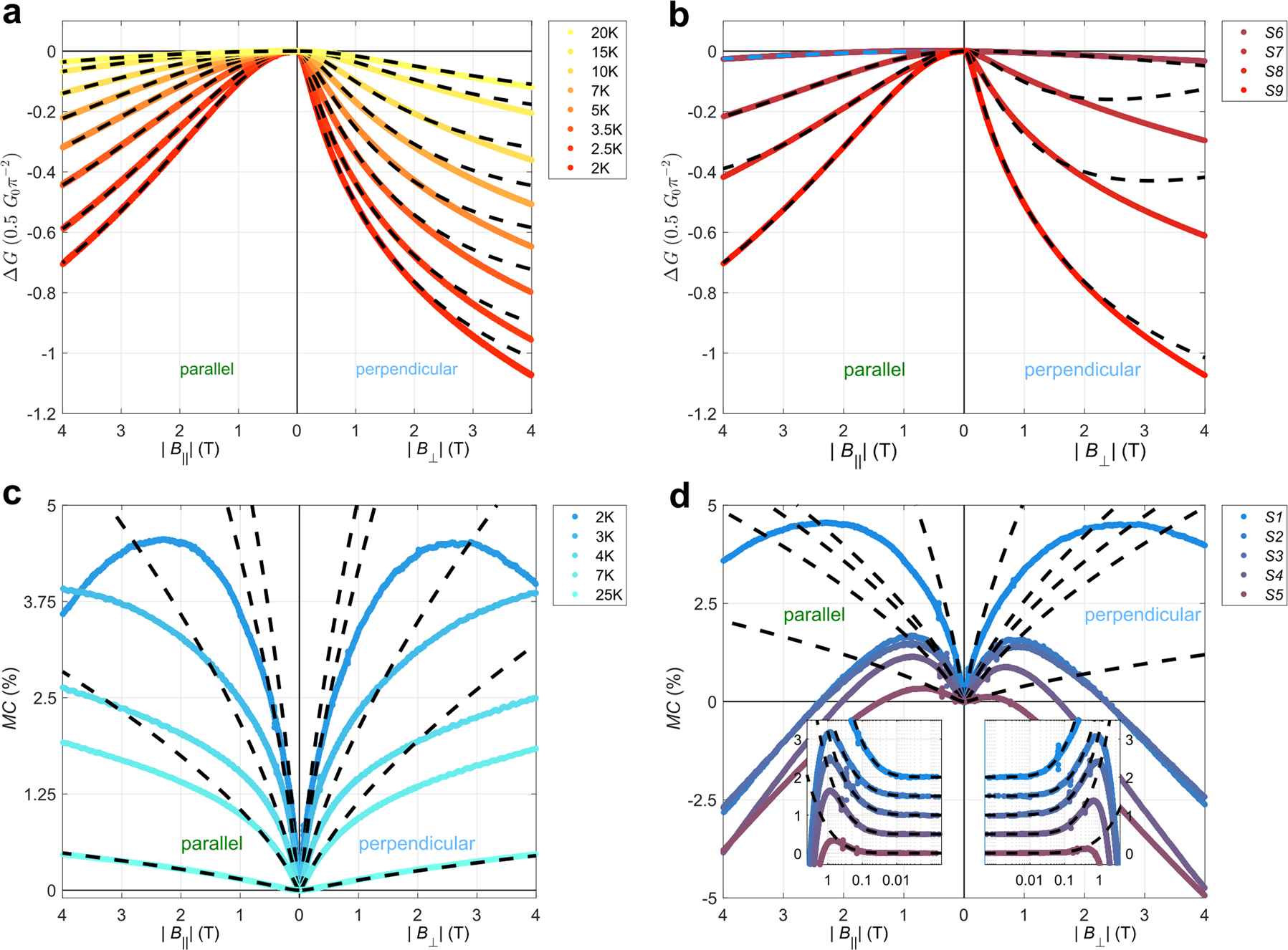
Magnetoconductance of diffusive and insulating SnSb2Te4 samples. Solid curves are measured data, while dashed lines represent model fits. a The temperature-dependent MC for the most metallic sample S9 is dominated by weak antilocalization. b With increasing disorder, the 2 K magnetoconductance for samples S6–S9 shows a steady decline in the contribution of WAL, as well as a decrease in anisotropy. The blue dashed line for sample S6 indicates the change to positive MC at lowest fields (see Supplementary Note 4). c The most insulating sample S1 shows a low-field MC that is positive and isotropic. The fits (dashed lines) to Eq. 4 at lowest fields show excellent agreement with the data (apart from a negative slope that appears in fields above 2T arising from wave function shrinkage). d Strongly and marginally insulating SnSb2Te4 samples at 2 K. The magnitude of the MC increases while the anisotropy of the MC decreases with increasing disorder. The insets in log(B)-scale demonstrate the excellent agreement of theory and data at lowest fields; inset curves are shifted for clarity.