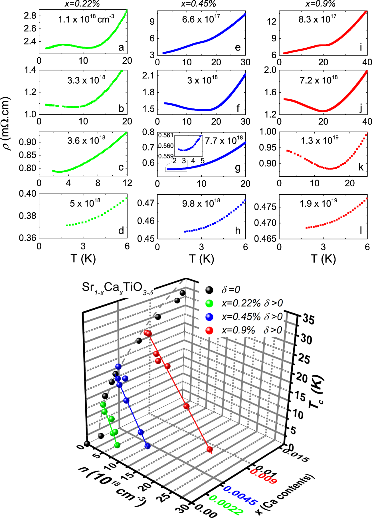
Fig. 1: The evolution of polar structure phase transition as the function of Ca contents and electron doping.

Upper panel: Temperature dependence of resistivity for Sr\({}_{1-x}\)Ca\({}_{x}\)TiO\({}_{3-\delta }\). a–d: \(x=0.22 \%\); e–h: \(x=0.45 \%\); i–l: \(x=0.9 \%\). Lower panel (m): \({T}_{{\rm{c}}}\) of FE transition or polar structural-phase transition as the function of \(x\) and \(n\). The black balls mark \({T}_{{\rm{c}}}\) of insulating Sr\({}_{1-x}\)Ca\({}_{x}\)TiO\({}_{3}\) samples.17 The green, blue, red balls mark the \({T}_{{\rm{c}}}\) of polar structural-phase transitions in n-doped Sr\({}_{1-x}\)Ca\({}_{x}\)TiO\({}_{3-\delta }\) with \(x=0.22 \%\), \(0.45 \%\) and \(0.9 \%\), respectively.