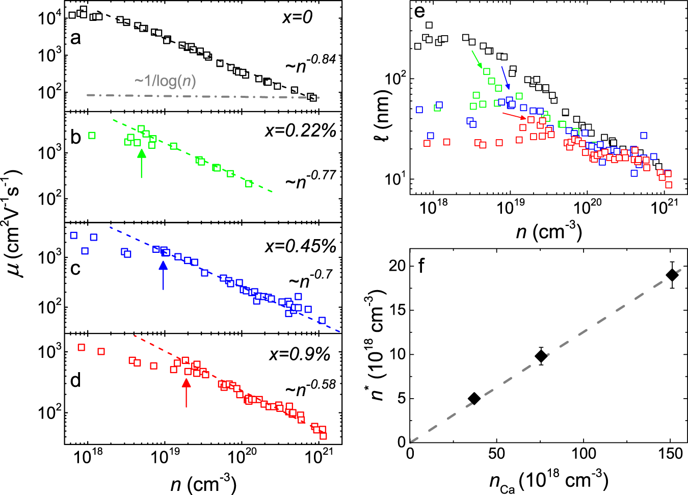
Fig. 3: The Hall mobility and mean-free-path for three groups of Sr\({}_{1-x}\)Ca\({}_{x}\)TiO\({}_{3-\delta }\) with electron doping.

a–d The Hall mobility (\(\mu\)) at 2 K as a function of \(n\) in log–log scale for Sr\({}_{1-x}\)Ca\({}_{x}\)TiO\({}_{3-\delta }\) with \(x=0\), \(0.22 \%\), \(0.45 \%\), and \(0.9 \%\). The dashed lines are fits to power laws. Arrows mark the threshold doping (\({n}^{* }(x)\)) for Ca-doped samples. The dash-dot-line in a represents \(\frac{1}{{\rm{log}}(n)}\). e Mean-free-path (\(\ell\)) at 2 K as a function of \(n\) in log–log scale for four sets of samples. The gentle maxima are marked by arrows at a carrier density corresponding to \({n}^{* }(x)\). f \({n}^{* }\) as the function of Ca concentration \({n}_{{\rm{Ca}}}=\frac{x}{{a}_{0}^{3}}\), where \({a}_{0}=0.3905\) nm is the lattice constant of SrTiO\({}_{3}\). The dashed line is a linear fit. The error bars mark the extent of uncertainty in extracting \({n}^{* }\) from the fit in Figs. 1m and 3b–d.