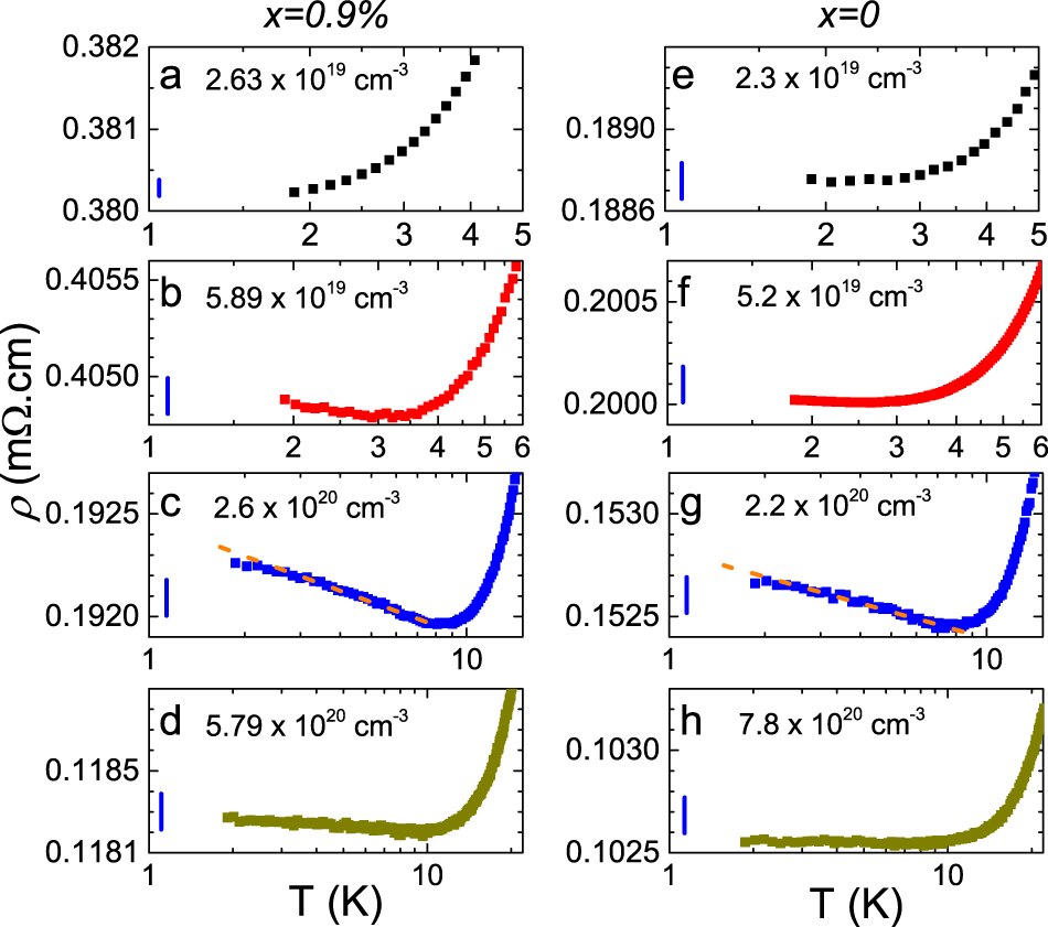
Fig. 5: Temperature dependence of resistivity at low temperatures above \({\boldsymbol{n}}^{* }\).

Data for Sr\({}_{1-x}\)Ca\({}_{x}\)TiO\({}_{3-\delta }\) with \(x=0.9 \%\) (a–d) is compared with \(x=0\) (e–h). The vertical blue bars correspond to a value of 0.2 \(\upmu \Omega\).cm. Note the presence of small upturns in both cases corresponds to a sub-percent change in resistivity.