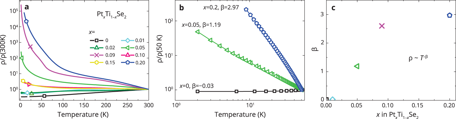
Fig. 2: MIT in 1T-PtxTi1−xSe2 from transport measurements.

a Resistivity (ρ/ρ300K) as a function of temperature for various Pt doping x. 1T-PtxTi1−xSe2 initially shows metallic behavior but quickly becomes insulating with increasing x. b Log-log plot of resistivity vs. temperature for single crystal data at temperatures below 50 K. c Power β (in ρ ~ T−β) vs. doping x, for single crystal measurements for the insulating samples.