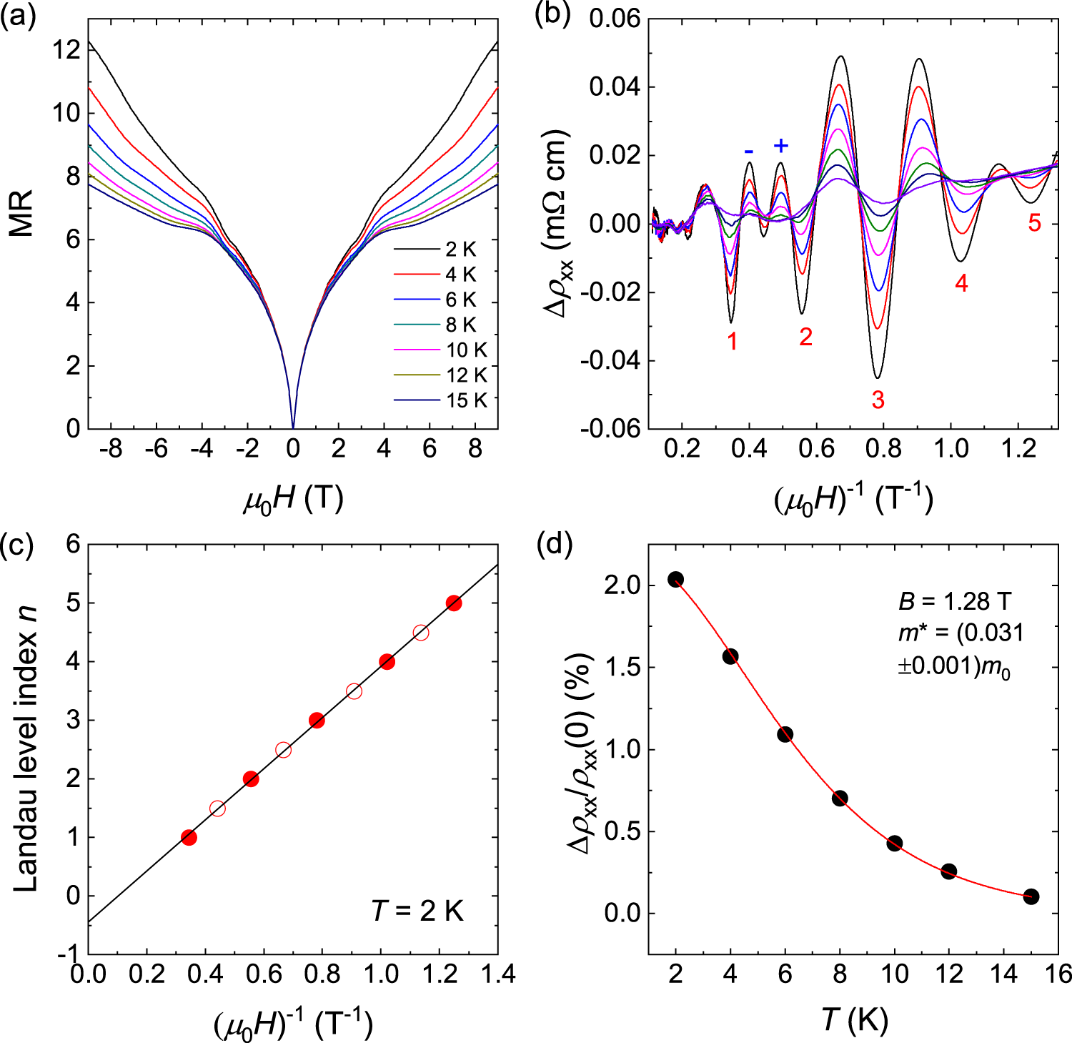
Fig. 2: Magnetoresistance of ZrTe5.
From: Large Zeeman splitting induced anomalous Hall effect in ZrTe5

a Field dependence of MR at different temperatures with the magnetic field along b-axis and the current along a-axis. Prominent SdH oscillations show up at low temperatures. b Oscillatory component Δρxx as a function of inverse magnetic field taken at various temperatures. The valleys of the oscillating pattern are labeled as integer Landau indices. A large Zeeman splitting is observed between n = 1 and n = 2 Landau level. c Landau index n versus 1/μ0H for the SdH oscillation. The non-zero intercept indicates trivial Berry phase in our ZrTe5 samples. d Temperature dependence of the oscillation amplitude at 1.28 T.