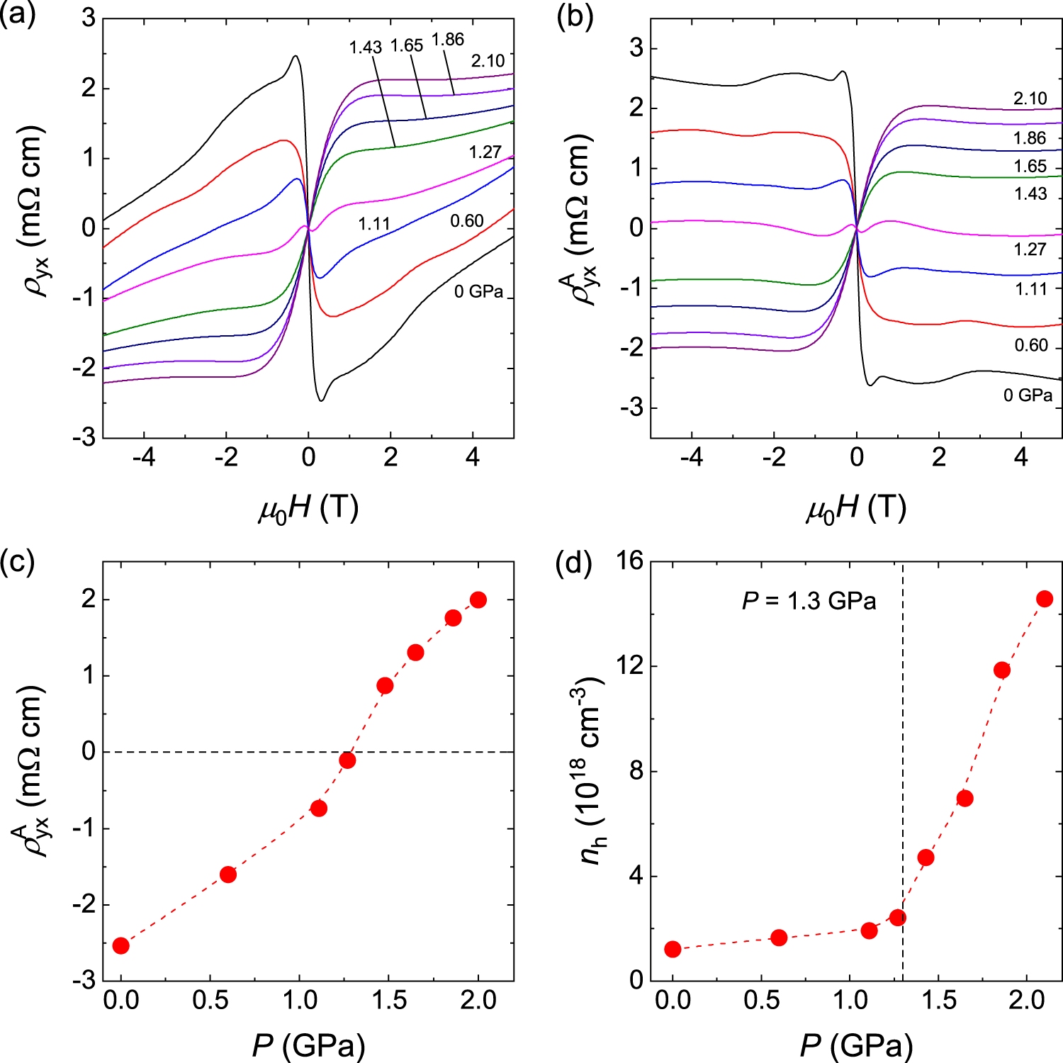
Fig. 4: Pressure-dependent anomalous Hall resistivity of ZrTe5.
From: Large Zeeman splitting induced anomalous Hall effect in ZrTe5

a The Hall resistivity ρyx at 2 K under different pressures. b The anomalous component \(\rho _{{\mathrm{yx}}}^{\mathrm{A}}\) at various pressures. c Pressure dependence of anomalous Hall resistivity \(\rho _{{\mathrm{yx}}}^{\mathrm{A}}\). It reverses sign from negative to positive at P = 1.3 GPa. d Pressure-dependent hole carrier density. It increases with pressure and changes its slope at the sign-reversal pressure P = 1.3 GPa.