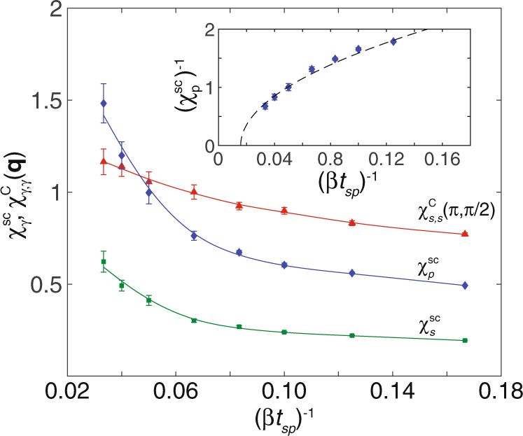
Fig. 10: The evolution of the superconducting correlations as a function of temperature.

Results are shown for the charge χC(π/2, π/2) and pair-field χsc susceptibilities as a function of temperature \({(\beta {t}_{sp})}^{-1}\) at \(\langle \hat{n}\rangle =1.59\). The inset plots \({({\chi }_{p}^{{\rm{sc}}})}^{-1}\) as a function of temperature \({(\beta {t}_{sp})}^{-1}\). The black dashed line is the fitting result. The error bars represent 1σ statistical errors, which were obtained from the sample variances measured during Monte Carlo sampling.