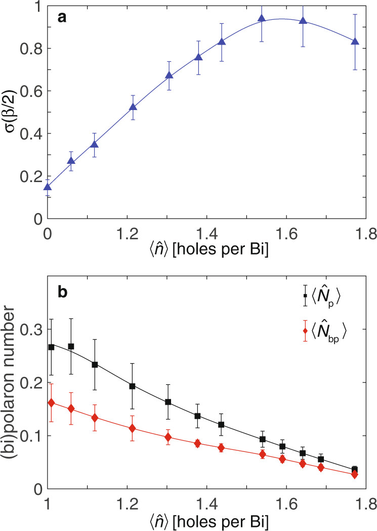
Fig. 8: The evolution of the conductivity weight and (bi)polaron number as a function of hole concentration.

a The conductivity weight as a function of doping. b polaron and bipolaron number as a function of doping. All results are for a temperature \({(\beta {t}_{sp})}^{-1}=0.1\). The error bars represent 1σ statistical errors, which were obtained from the sample variances measured during Monte Carlo sampling, and error bars smaller than the marker size have been suppressed for clarity.