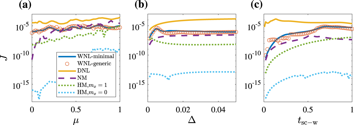
Fig. 4: Josephson current in WNL Josephson junctions compared with DNL, NM, and HM junctions.
From: Large Josephson current in Weyl nodal loop semimetals due to odd-frequency superconductivity

Parameter dependencies of the Josephson current (in units of ea2tw\(\hbar\)−1) in WNL, DNL, NM, and HM Josephson junctions as a function of chemical potential μ (a), order parameter amplitude Δ (b), and tunneling between the SC and junction material tsc-w (c). Fixed parameters are the same as in Figs. 2 and 3 except φL = π/2, φR = 0 and in b, c NM and HM have μ = 0.1, while μw = 0 in the WNL.