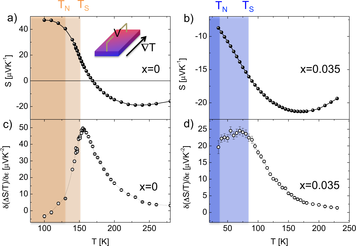
Fig. 2: Elasto-Seebeck effect of the LaFe1−xCoxAsO compounds with x = 0 and x = 0.035.
From: Strain derivative of thermoelectric properties as a sensitive probe for nematicity

a Temperature dependence of the Seebeck coefficient S of the LaFe1−xCoxAsO compounds with x = 0. b Temperature dependence of the strain derivative of the T-normalized Seebeck coefficient δ(ΔS/T)/δϵ x = 0 compound. c Temperature dependence of the Seebeck coefficient S of the LaFe1−xCoxAsO compounds with x = 0.035. b Temperature dependence of the strain derivative of the T-normalized Seebeck coefficient δ(ΔS/T)/δϵ x = 0.035 compound. The dark-orange and the dark-blue areas indicate the regions where the long range structural and magnetic ordered states are both established. The error-bars represent the standard errors (see Supplementary Note 7, Supplementary Figs. 7–9).