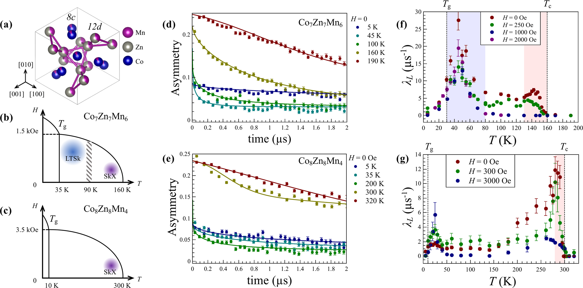
Fig. 1: Crystal structure, magnetic phase diagrams and muon spectroscopy of CoZnMn alloys.

a β-Mn-type structure (space group: P4132), comprising 8c and 12d atomic sites, as viewed along the [111] axis. The bonds between Mn atoms at 12d sites are shown. Schematic T − H magnetic phase diagram in (b) Co7Zn7Mn6 and (c) Co8Zn8Mn4 obtained from SANS and susceptibility measurements13,15. Measured (symbols) and fitted (solid lines) μSR spectra at selected temperatures for Co7Zn7Mn6 (d) and Co8Zn8Mn4 (e). Corresponding temperature dependencies of relaxation rates λ(T) obtained from the fits are shown in (f) and (g) for Co7Zn7Mn6 and Co8Zn8Mn4, respectively. The temperature ranges for SkL and LTSk phases are indicated by purple and blue background colours, respectively. In (d, e), error bars indicate the statistical error. In (f, g), error bars are obtained from the fitted model described in the main text.