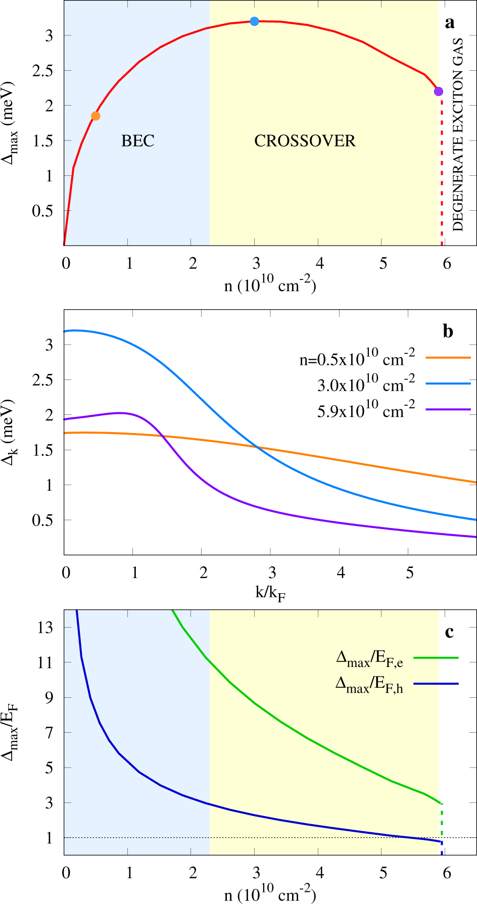
Fig. 2: Properties of the zero-temperature superfluid gap.
From: Electron–hole superfluidity in strained Si/Ge type II heterojunctions

a Maximum of the gap \({{{\Delta }}}_{\max }\) as a function of the equal carrier densities n. The blue and yellow areas represent the BEC and BCS–BEC crossover regimes. The BCS regime is suppressed by screening. b Momentum dependent gap Δk at the three densities n indicated by the colour-coded dots on the curve in (a). c \({{{\Delta }}}_{\max }\) scaled by the electron and hole Fermi energies EF,e and EF,h.