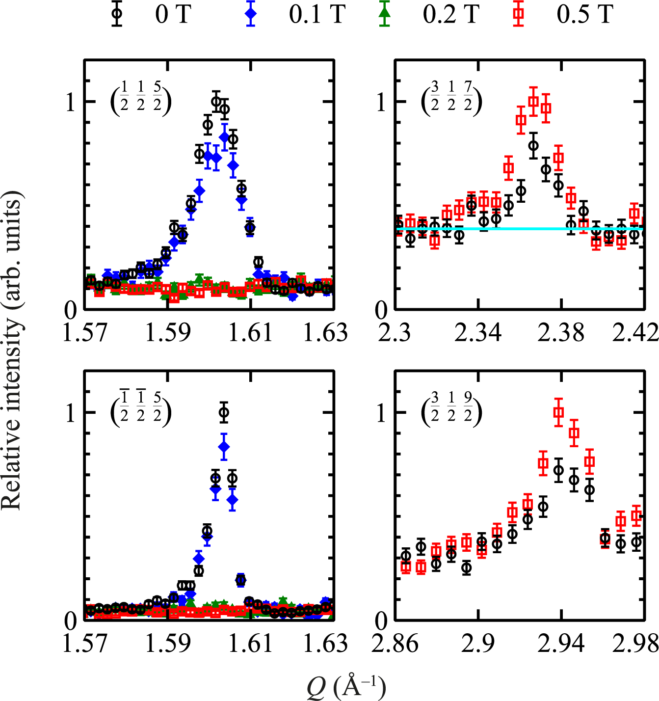
Fig. 2: Field dependence of single-crystal magnetic Bragg scattering.
From: Suppressed-moment 2-k order in the canonical frustrated antiferromagnet Gd2Ti2O7

Relative intensities of selected single-crystal magnetic Bragg peaks at different values of applied magnetic field \({{{\bf{H}}}}\parallel [1\bar{1}0]\) at T = 0.07 K. Magnetic Bragg peaks are labeled in each panel and applied fields μ0H are as labeled above the panels. To emphasize the field dependence, intensities are normalized such that the maximum intensity in each panel is unity. Error bars represent one standard deviation. For the \((\frac{3}{2}\frac{3}{2}\frac{7}{2})\) peak, the integrated intensity is 0.11(2) units for H = 0 and 0.22(2) units for μ0H = 0.5 T, consistent with the expected doubling; the estimated background is shown as a light blue line.