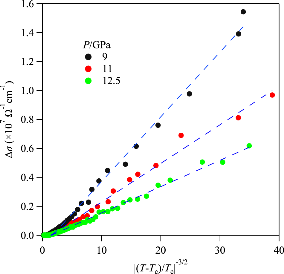
Fig. 8: Analysis with the Aslamazov and Larkin (A-L) model.
From: Quasi-one-dimensional superconductivity in the pressurized charge-density-wave conductor HfTe3

The reduced temperature dependence of excess conductivity around Tc along the a-axis.
From: Quasi-one-dimensional superconductivity in the pressurized charge-density-wave conductor HfTe3

The reduced temperature dependence of excess conductivity around Tc along the a-axis.