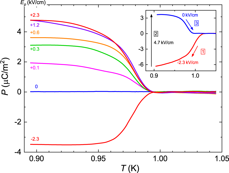
Fig. 4: Electric polarization of single crystalline PbCuTe2O6.
From: Spin liquid and ferroelectricity close to a quantum critical point in PbCuTe2O6

Temperature dependence of the electric polarization of single crystalline PbCuTe2O6 (sc #1(a)) as deduced from the pyrocurrent monitored upon heating. The measurements were performed for different poling fields (−2.3 to +2.3 kV/cm), applied to the sample along the [110] direction during the preceding cooling run. For original pyrocurrent data taken at different heating rates and poling fields, see Supplementary Fig. 10a and Fig. 10b. The results in the inset demonstrate the switching of the polarization achieved by first cooling the sample within negative field (1), applying a positive field for 1 min at 0.9 K (2), and finally reheating it without field (3).