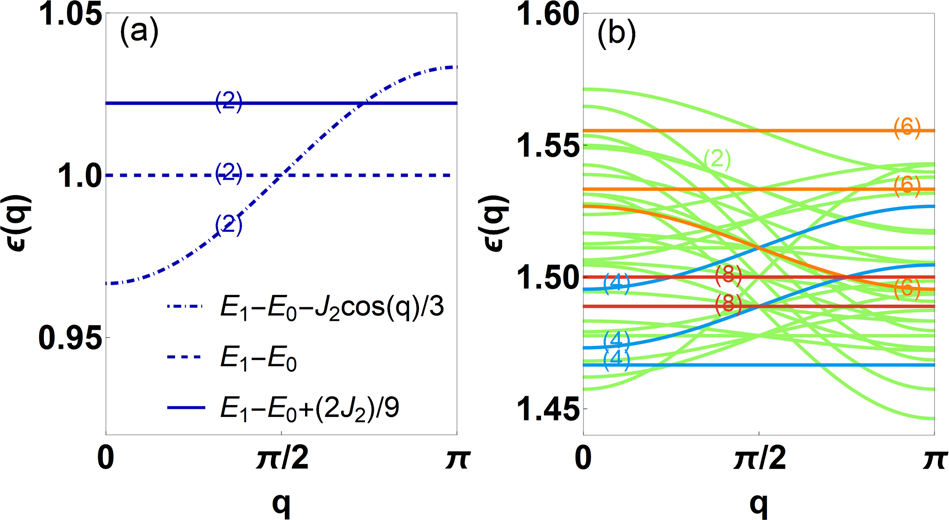
Fig. 5: Dispersion relations of the intermediate-energy and high-energy excitations in the reduced BZ.
From: Fractional and composite excitations of antiferromagnetic quantum spin trimer chains

All results are from the case where g = 0.1. The numbers marked on curves represent the degeneracies. In a each dispersion relation is two-fold degenerate. In b four colors have been used to distinguish the different degeneracies.