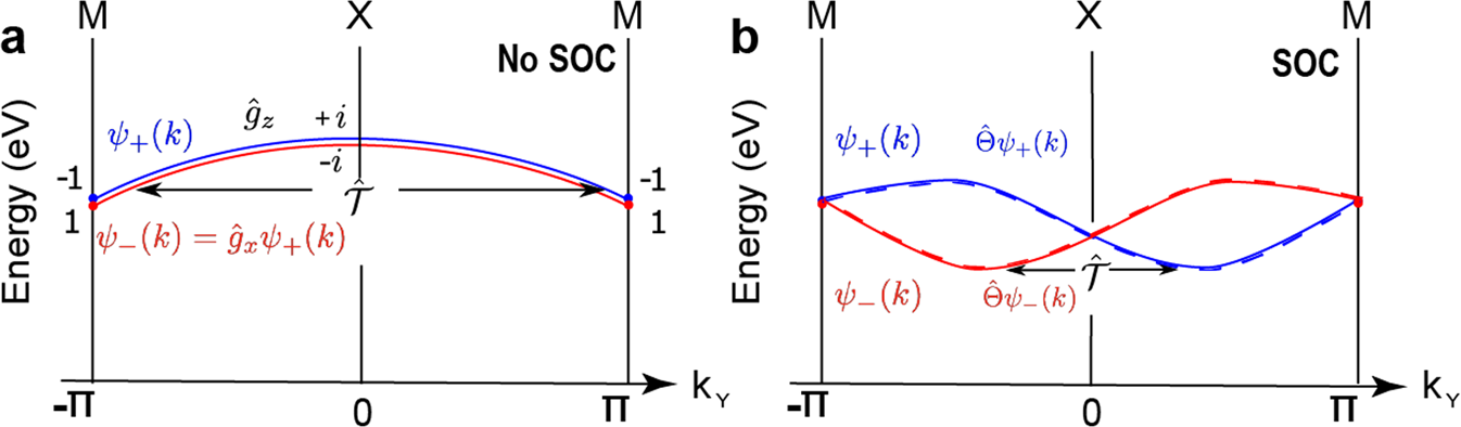
Fig. 3: Nonsymmorphic symmetry-protected band degeneracy.
From: Nonsymmorphic symmetry-protected band crossings in a square-net metal PtPb4

a Without SOC, glide symmetries \({\hat{g}}_{z}\) and \({\hat{g}}_{x}\) guarantee the degeneracy of the two bands ψ+ and \({\psi }_{-}={\hat{g}}_{x}{\psi }_{+}\). Here the blue and red solid lines denote the two bands with ±\({\hat{g}}_{z}\) eigenvalues \(\pm i{e}^{-{{{{\bf{k}}}}}_{y}/2}\). Furthermore, These two bands become symmetric with respect to ky = 0 under time-reversal symmetry (\(\hat{{{{\mathcal{T}}}}}\)). b With SOC, the blue and red bands have to separate and each of them becomes doubly degenerate due to Kramer’s pairing. The presence of both time-reversal \(\hat{{{{\mathcal{T}}}}}\) and parity \(\hat{{{{\mathcal{P}}}}}\) symmetries enforces the fourfold band crossings at ky = 0, ± π (X and M).