Fig. 3: Probing TRS breaking superconductivity via ZF-μSR.
From: Spin-triplet superconductivity in Weyl nodal-line semimetals

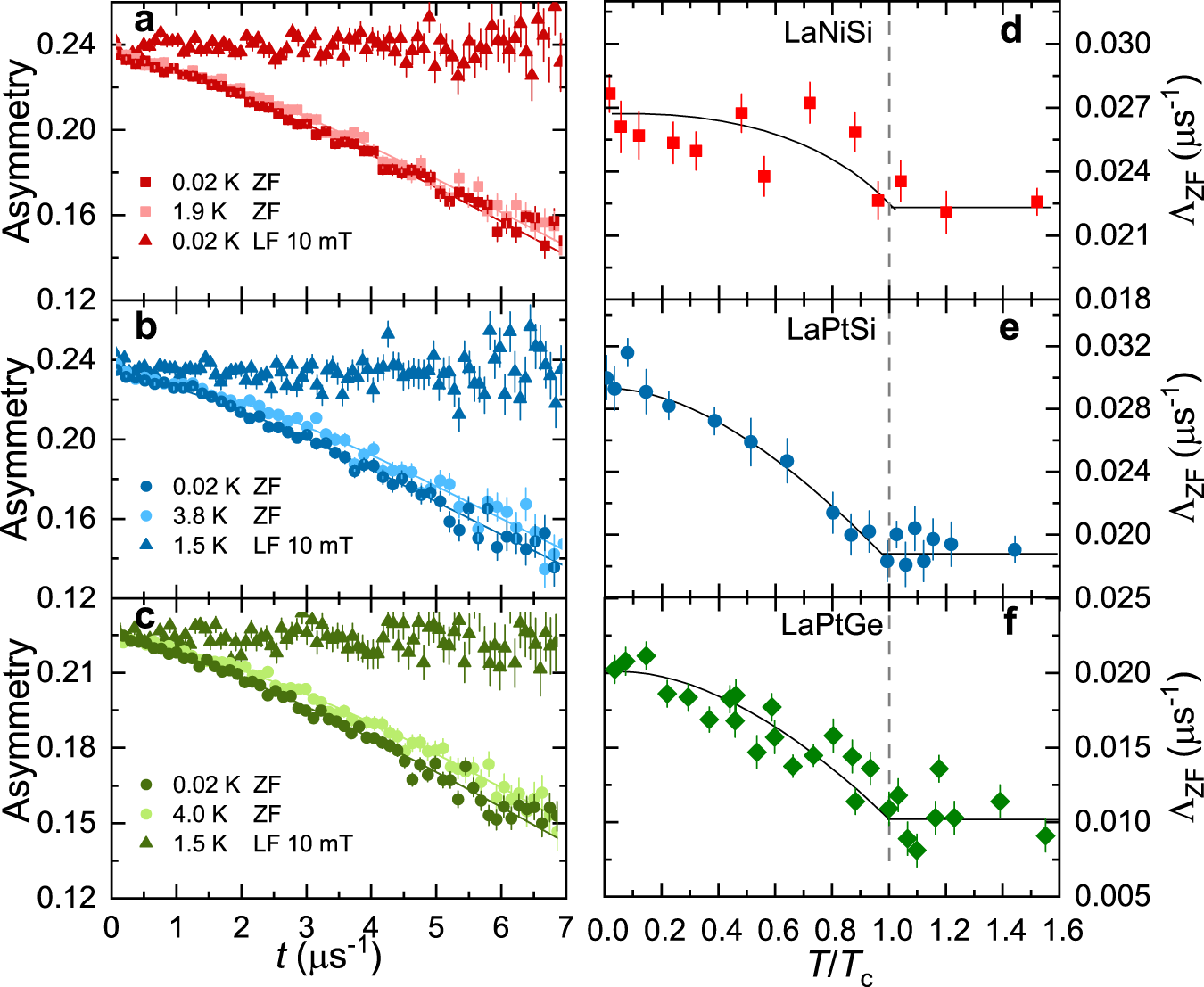
a–c Zero-field μSR spectra collected above and below Tc in LaNiSi (a), LaPtSi (b), and LaPtGe (c). In all cases, the lack of any oscillations implies a lack of long-range magnetic order. Solid lines through the data in a–c are fits to Eq. (2). The flat μSR datasets in a–c correspond to LF-μSR spectra, suggesting that even a small longitudinal field is sufficient to decouple muon spins from the local field. d–f Zero-field muon-spin relaxation rate ΛZF versus the reduced temperature T/Tc for LaNiSi (d), LaPtSi (e), and LaPtGe (f). Solid lines in d–f are guides to the eyes. A consistent increase of ΛZF below Tc reflects the onset of spontaneous magnetic fields, indicative of a breaking of TRS in the superconducting state, while the σZF is almost temperature independent (see details in Supplementary Fig. 7 and Note 5). The error bars of ΛZF are the SDs obtained from fits to Eq. (2) by the musrfit software package52.