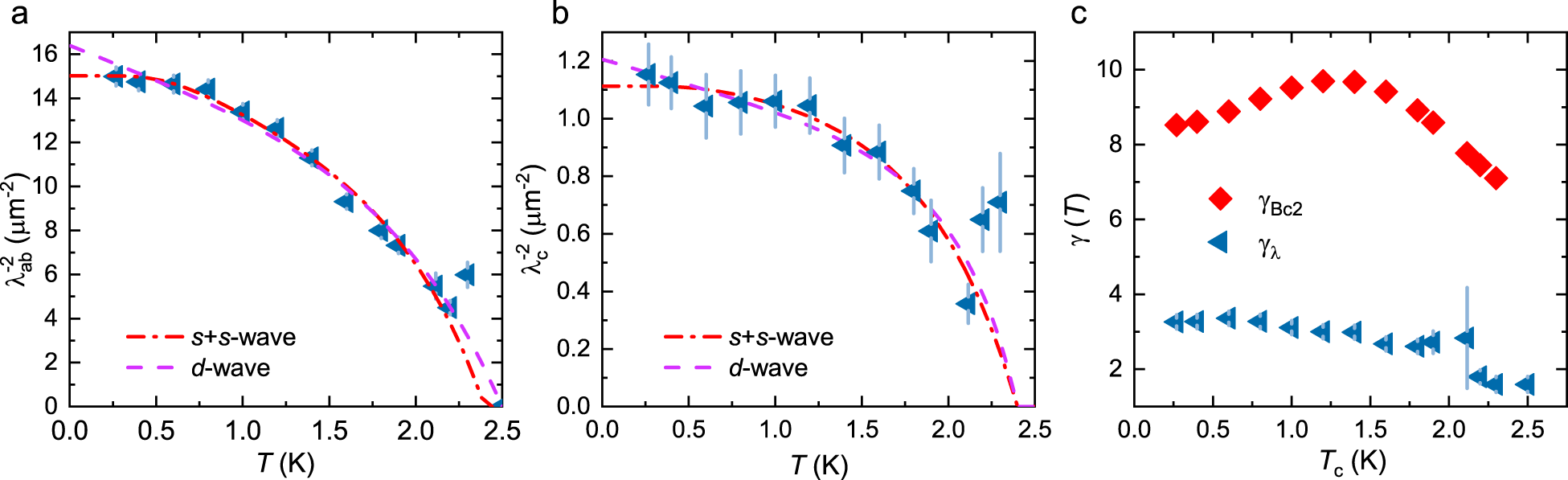
Fig. 3: Temperature dependence of London penetration depth and anisotropy parameter.
From: Microscopic evidence for anisotropic multigap superconductivity in the CsV3Sb5 kagome superconductor

a and b Temperature variations of the in-plane and out-of-plane component of the inverse squared magnetic penetration depths, \({\lambda }_{ab}^{-2}(T)\) and \({\lambda }_{c}^{-2}(T)\). Data are fitted with a two gap (s + s)-wave, and a nodal d-wave model, as described by the phenomenological α-model. c Magnetic penetration depth anisotropy (γλ) and upper critical field anisotropy (\({\gamma }_{{B}_{{{{\rm{c}}}}2}}\)) as a function of temperature. \({\gamma }_{{B}_{{{{\rm{c}}}}2}}(T)\) is obtained by considering the SC transition temperature Tc as the temperature where resistivity approaches zero. The error bars represent the SD of the fit parameters.