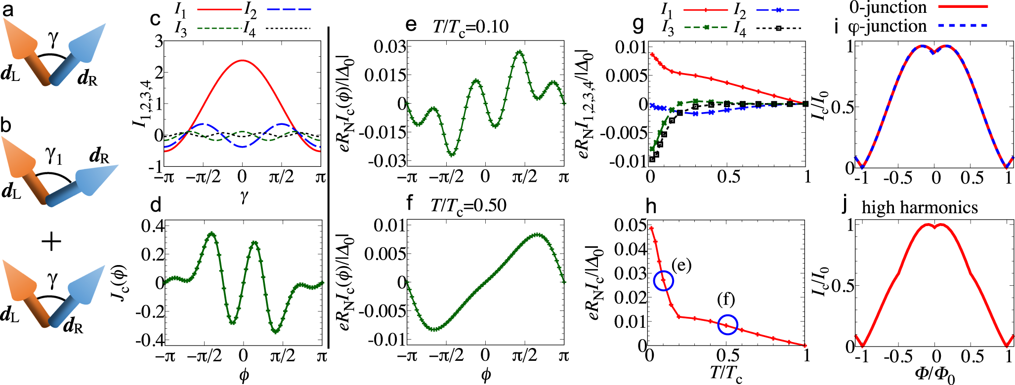
Fig. 3: Misalignement of d-vectors, high-harmonics in the current phase relation and magnetic field dependence of the critical current.

a Sketch of the d-vectors on the left (L) and right (R) sides of the junction with a misaligned angle γ. b Schematic illustration of two Josephson channels with misaligned angles γ and γ1 for the d-vectors. c The behavior of the first four harmonics amplitude (In with n = 1, . . . , 4) of the Josephson current in the case of two Josephson channels, characterized by a varying misalignment angle (γ) and a given one (γ1 = 0.24π) for the corresponding d-vectors. The transmission amplitudes are Zt1 = 0.85 and Zt = 0.95. d Current phase relation for two Josephson channels with Zt1 = 0.85, Zt = 0.95, γ1 = 0.24π, and γ = 0.74π. Current phase relation for the NCS-NCS junction at different temperatures evaluated by means of the recursive Green's function: eT/Tc = 0.10 and fT/Tc = 0.50. g Temperature dependence of the n = 1, 2, 3, 4 Josephson harmonics and h the maximum amplitude of the Josephson current. In e–h, we set parameters as Tc/t = 1.0 × 10−5, (λSOL/t, αORL/t, μL/t) = (0.10, 0.20, 0.00), and (λSOR/t, αORR/t, μR/t) = (0.10, 0.20, 0.35). Magnetic field dependence of the critical current (Fraunhofer pattern) with an applied magnetic flux Φ threading the NCS-NCS junction for i 0- (red line) and φ-Josephson coupling (blue dotted line) as for the CPR in Fig. 2 d and h. j Fraunhofer pattern for a CPR dominated by high harmonics components in the Josephson current as in Fig. 3e.