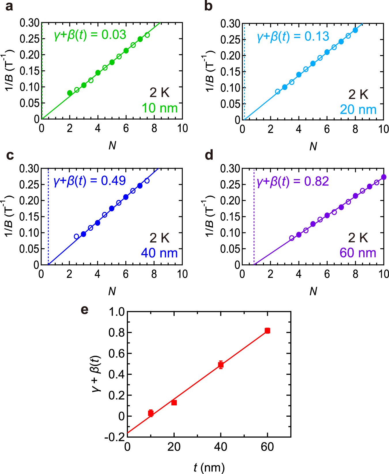
Fig. 10: Thickness t dependence of the LL fan diagram of the conductivity maximum for the SrRuO3 films.
From: High-mobility two-dimensional carriers from surface Fermi arcs in magnetic Weyl semimetal films

a t = 10 nm, b 20 nm, c 40 nm, and d 60 nm. The fixed slopes of the linear fittings are obtained by the frequency F. All plotted data points were used in the linear fittings. \(\gamma + \beta (t)\) is the phase shift in Eq. (4). e Thickness t dependence of the \(\gamma + \beta (t)\). The red line represents the linear fitting. The error bars are defined as the standard deviation of the linear fittings in a–d.