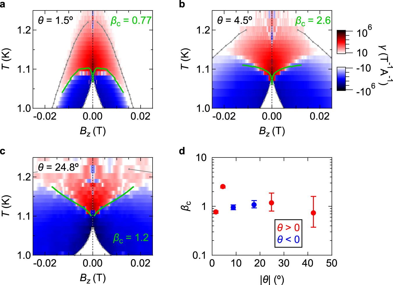
Fig. 4: Sign reversal of the nonreciprocal coefficient under various magnetic field tilted angles.
From: Nonreciprocal charge transport in topological superconductor candidate Bi2Te3/PdTe2 heterostructure

a–c Color plots of γ with the contour lines of \(\frac{{R^\omega }}{{\left| {B_z} \right|}} = \left( {1 + \frac{1}{{\beta _{{{\mathrm{c}}}}}}} \right)\frac{{\phi _0}}{\eta }\) (green) in the Bz–T plane for θ = 1.5°, 4.5°, and 24.8°. The value βc is estimated such that the curve \(\frac{{R^\omega }}{{\left| {B_z} \right|}} = \left( {1 + \frac{1}{{\beta _{{{\mathrm{c}}}}}}} \right)\frac{{\phi _0}}{\eta }\) gives the best fitting to the boundary between the regions with γ > 0 (red) and γ < 0 (blue). d βc as a function of the tilt angle θ. The data for θ > 0 (θ < 0) are represented by red (blue).