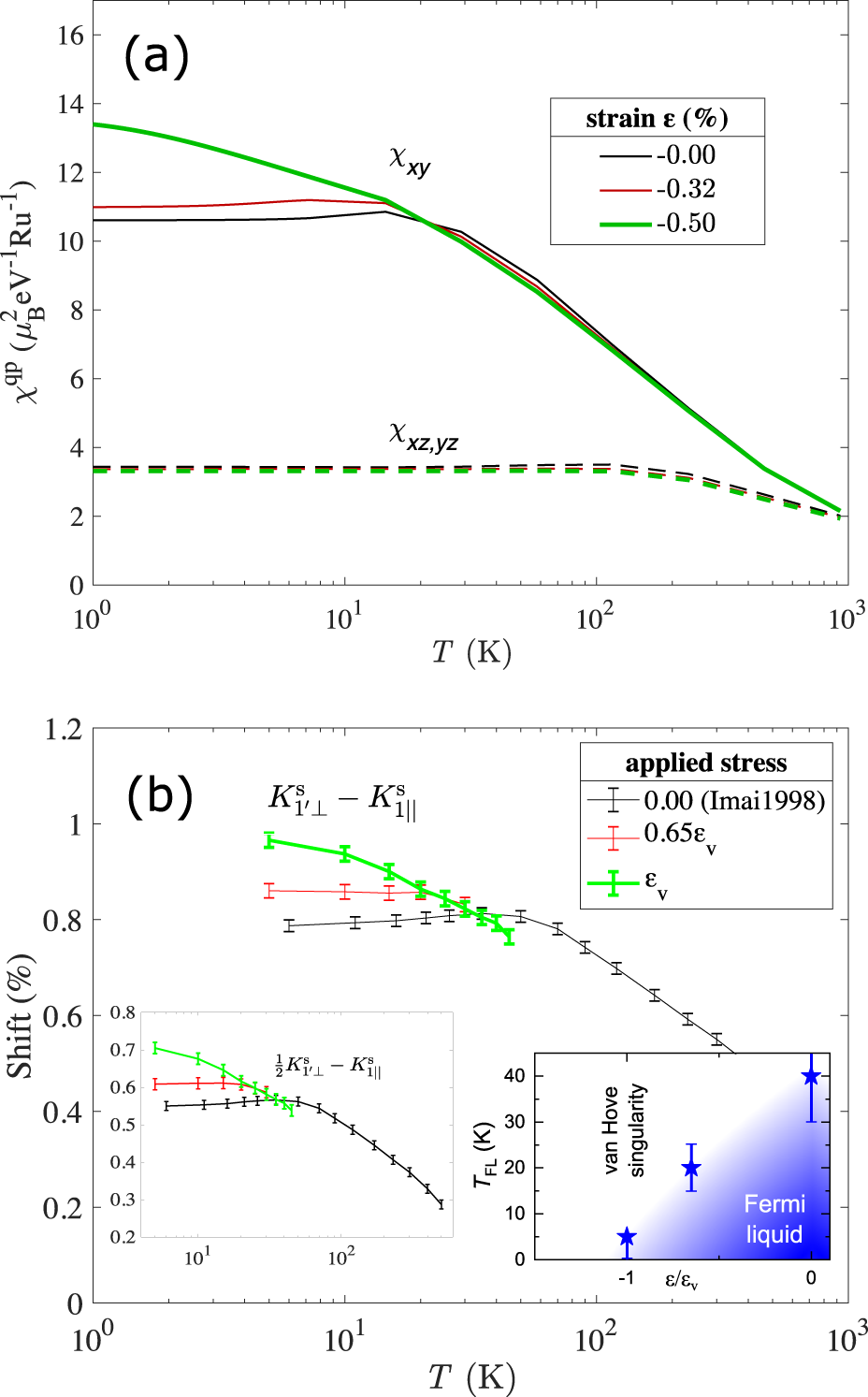
Fig. 3: Comparison between calculated and measured susceptibility.
From: Tuning the Fermi liquid crossover in Sr2RuO4 with uniaxial stress

a Susceptibility evaluated from the quasiparticle Hamiltonian as a function of temperature and a-axis strain, χqp(εaa, T). The susceptibility is resolved into contributions from the three t2g orbitals. The critical (compressive) strain is close to εaa = − 0.50%. b Experimentally determined \({K}_{1^{\prime} \perp }^{{{{\rm{s}}}}}-{K}_{1| | }^{{{{\rm{s}}}}}\) as a function of temperature and applied stress, referenced to the critical stress εv. Ks denotes the spin part of the total shift. To calculate the difference continuously, shifts have been interpolated from Fig. 1 after subtraction of the known orbital contribution. (\({K}_{1| | }^{{{{\rm{o}}}}}=+0.18 \%\), \({K}_{1{\prime} \perp }^{{{{\rm{o}}}}}=0.0 \%\))40. Error bars are determined by the average linewidth of the two sites. The inset on the right illustrates the Fermi-liquid crossover temperature as a function of uniaxial strain, extracted from our Knight-shift data. The defining criterion is the shift extremum separating the regimes of T-independent behavior, and that of logarithmic T-dependence. Error bars denote the temperature range in which the shift variation about the extremum is less than the linewidth.