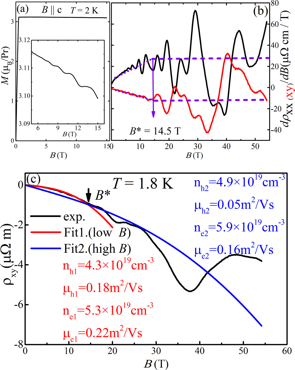
Fig. 4: Evolution of the density of carriers with the LT.
From: Field-induced Lifshitz transition in the magnetic Weyl semimetal candidate PrAlSi

a The magnetization of PrAlSi with the magnetic field applied along the c-axis, the inset is the enlarged part with evident QOs. b The black and red lines are the first derivative of the MR and Hall resistivities measured under a pulsed field which could provide more information beyond the critical field. The violet dotted lines guided by eyes suggest the change of slopes in both of them at the B*. c The field dependence of Hall resistance at 1.8 K along with two fitting curves with the two-band model. The red and blue curves correspond to the fits to the low-field and high-field, respectively.