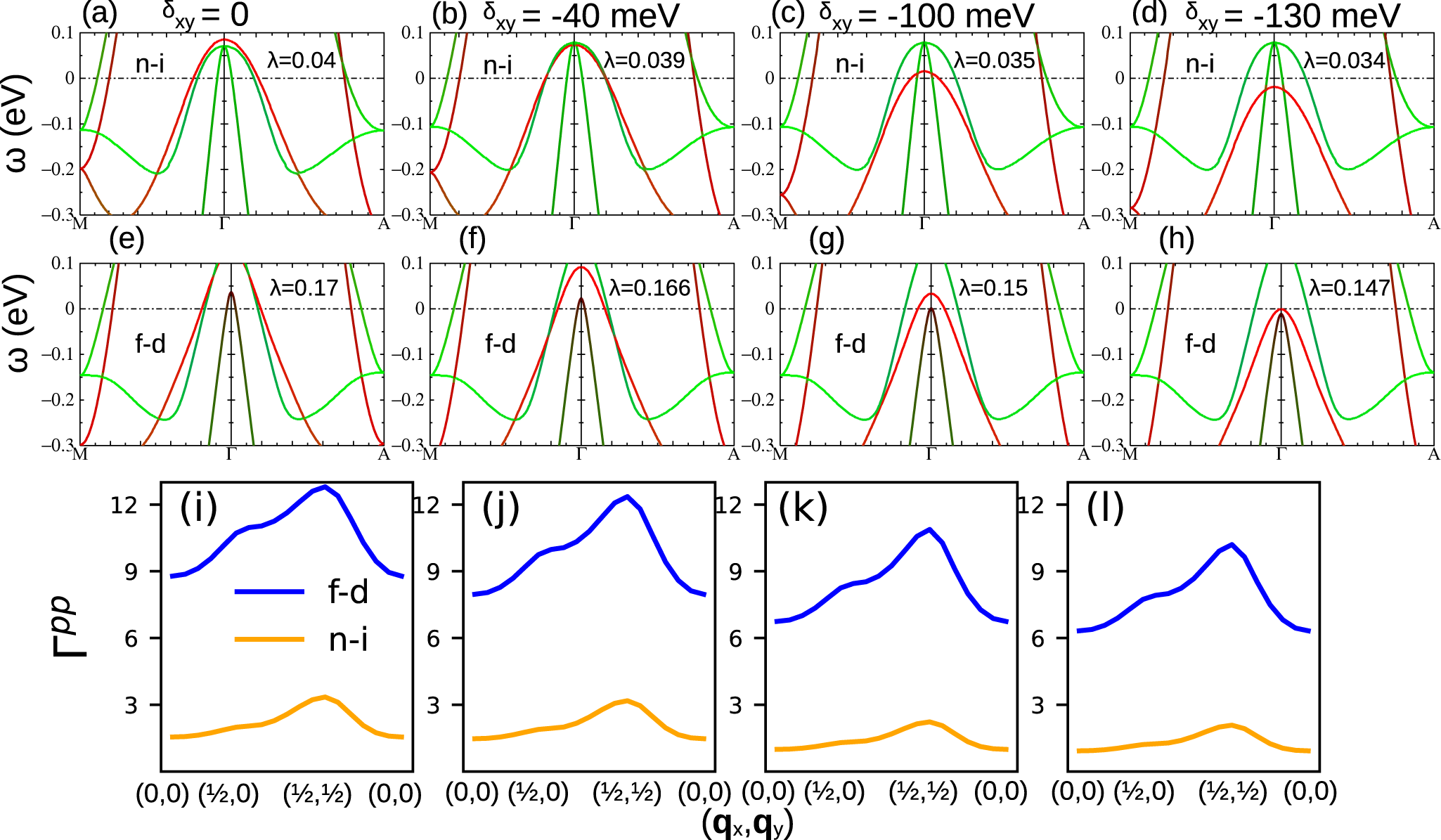
Fig. 6: dxy hole pocket and its impact on superconductivity.
From: Vertex dominated superconductivity in intercalated FeSe

For both non-intercalated (a–d) and intercalated (e–h) the electronic band structure is shown along M–Γ–A path for different values of shift δxy in potential. Red represents the dxy orbital character and green represents dxz,yz orbital characters. The leading superconducting eigenvalues λ remains roughly 4–5 times larger in intercalated samples for all δxy (the reported values for λ are at 300 K, which is the lowest temperature where we could compute λ reliably in all cases). The pairing vertex Γpp uniformly enhances by similar factors in intercalated variants for all such δxy, as the electron pockets around M and A, always contain significant dxy component.