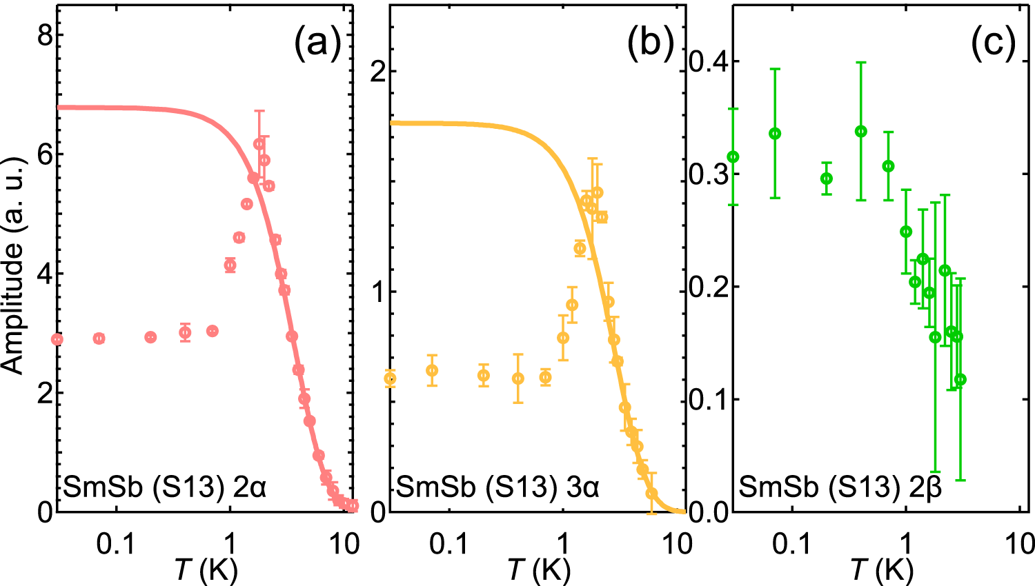
Fig. 2: Shubnikov–de Haas amplitudes of harmonics.

Temperature dependence of SdH quantum oscillation amplitudes in SmSb (S13) for a 2α, b 3α and c 2β. The solid curves in (a) and (b) are the LK fit above 3 K. The error bars are defined as the magnitude of the noise floor in the vicinity of the given peak.