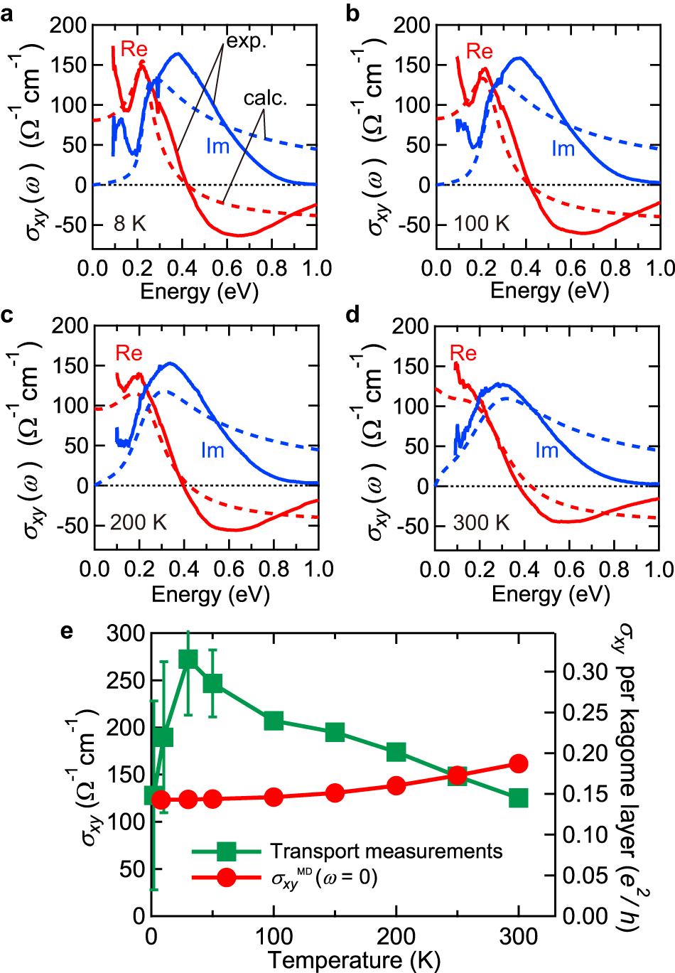
Fig. 4: Robust anomalous Hall response of massive Dirac fermions.

Comparison between the experiment (solid curves) and analytical model calculation (dotted curves) at 8 K (a), 100 K (b), 200 K (c), and 300 K (d). The red and blue curves are the real and imaginary parts of σxy(ω), respectively. The calculated spectra in a are obtained without finite temperature effects, resulting in the band parameters of massive Dirac fermion as 2 m = 33 meV, μ = 113 meV, and γ = 22 meV. The temperature effects are included in (b)–(d) with using these same band parameters. e Temperature dependence of the AHC arising from the massive Dirac fermions \({\sigma }_{{xy}}^{{\rm{MD}}}\left(\omega =0\right)\) (red circles) and total AHC obtained from the transport measurement (green squares). The error bar is estimated from the variance of the electrical noise.