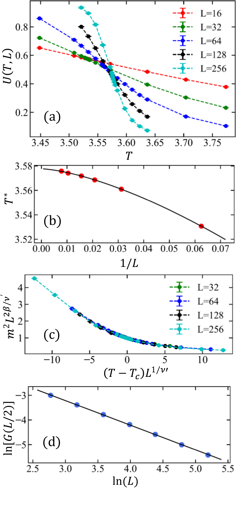
Fig. 2: The determination of the critical point and exponents at α = 2.5.
From: Finite-temperature critical behaviors in 2D long-range quantum Heisenberg model

a Binder ratio U(T, L) versus temperature T for different system sizes. b Crossing points of Binder ratios T*(L) versus 1/L. The solid line represents a fitting of the data points with Eq. (9). The fitted curve is T*(L) = − 2.935L−1.491 + 3.5776. c Data collapse of the order parameter 〈m2〉 near the critical point Tc. Notice here we replace the correlation length exponent ν with \({\nu }^{{\prime} }\) as in Eq. (13). d \(\ln [G(L/2)]\) versus \(\ln (L)\) for different system sizes L = 16, 24, 36, 54, 80, 120, 180. The data is fitted with a straight line as in Eq. (14) and the fitted result is \(\ln [G(L/2)]=-0.999(1)\ln (L)\). The errors of \(\ln [G(L/2)]\) are smaller than the symbol sizes and SEM is used when estimating the errors of the physical quantities.