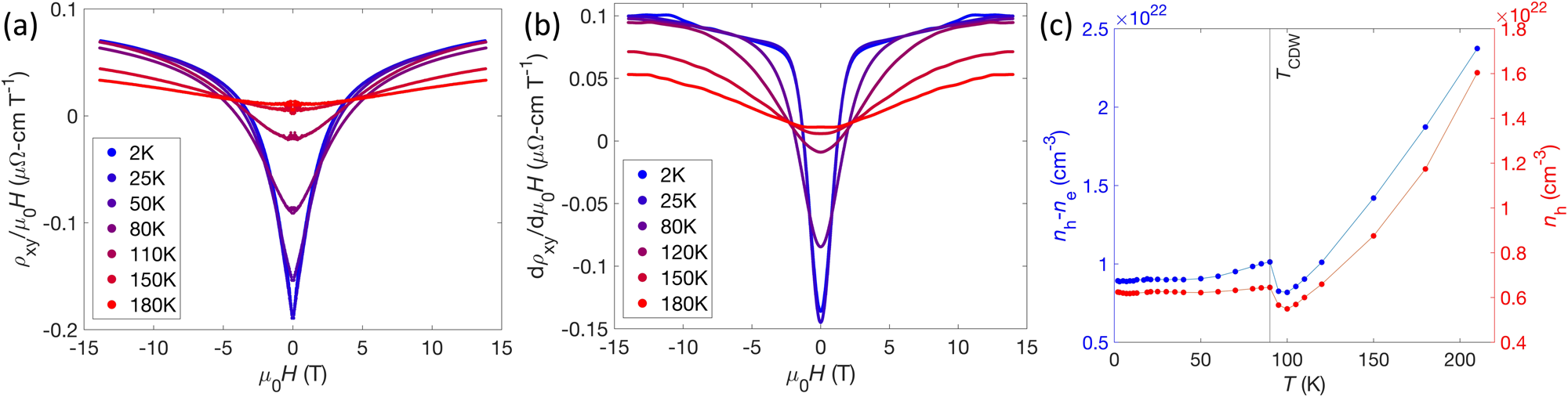
Fig. 3: High field limit Hall analysis.

a \(\frac{{\rho }_{{{{\rm{xy}}}}}}{{\mu }_{0}H}\) as a function of μ0H to evaluate the high field limit of the two-band model. Note that the curves are not fully saturated at 14 T. b \(\frac{{\rm {d}}{\rho }_{{{{xy}}}}}{{\rm {d}}{\mu }_{0}H}\) as a function of μ0H to approximate the carrier concentration using a one-band model. c nh−ne extracted from the high field limit of the two-band model and nh from the high field regime of a one-band model. While quantitatively different than the results presented in Fig. 2 for reasons described in the main text, all three of these analyses are qualitatively consistent.