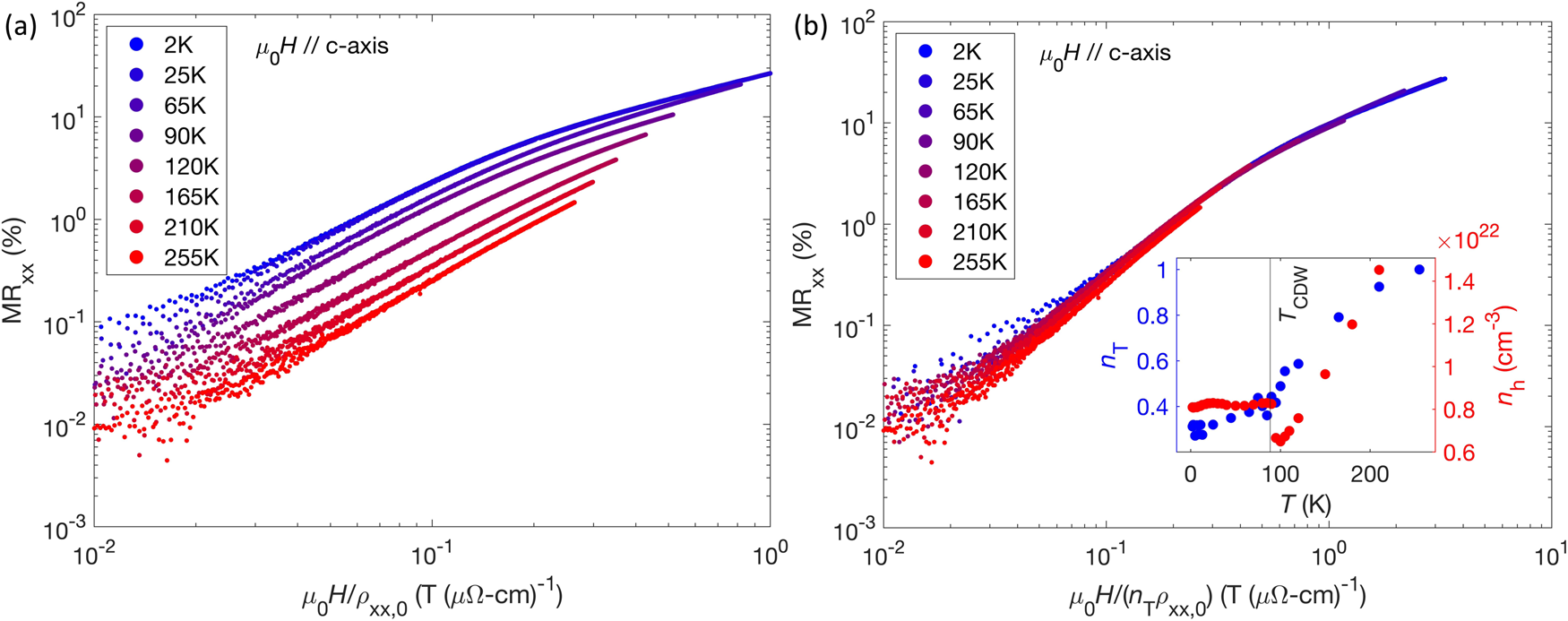
Fig. 5: Kohler’s rule analysis of \({{{{\rm{ScV}}}}}_{6}{{{{\rm{Sn}}}}}_{6}\).

a MRxx as a function of μ0H/ρxx,0 using the data from Fig. 4a on a log–log scale. Kohler’s rule is violated as the data from different temperatures do not collapse onto each other. b Extended Kohler’s rule applied to the same data as presented in a by plotting MRxx as a function of μ0H/(nTρxx,0) on a log–log scale. Inset: extracted nT as a function of temperature. nh extracted from the two-band Hall fitting as discussed in the section “Hall effect” is also plotted in the inset to highlight the similar temperature dependencies between nh and nT.