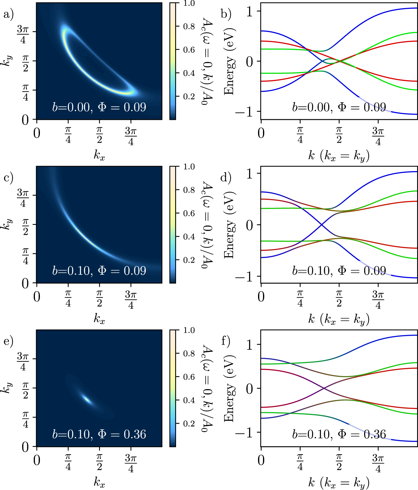
Fig. 2: Spectral density in superconductor for hole-doped normal state with hole pockets.

We show the electron spectral density (a, c, e) and band structure along a diagonal cut in the Brillouin zone (b, d, f) for different values of b and Φ (see Eq. (14) for the definition of b). In the band structure plots, the bands are colored with RGB values where blue = c electrons, green = f1 fermions, and red = f2 fermions. We have plotted all bands on the Nambu basis, thus the spectrum is always particle-hole symmetric. When B = 0 but Φ > 0 (top row), the electron spectral function shows hole-like Fermi pockets in the nodal region of the Brillouin zone formed from hybridization between the c and f1 electrons. When b is nonzero and a d-wave superconducting order is inherited by the c fermions (middle and bottom rows), all of the states at the Fermi level are gapped out except for a node on the front side of the original hole pocket of the parent state. The c electron velocity perpendicular to the kx = ky cut is shown to increase if Φ is made larger (bottom row). Spectral densities are normalized by their maximum value A0. All spectral densities are computed with a lifetime parameter of 0.005i. In practice, when plotting dispersion and spectral functions, we use the gauge of31, which is manifestly translationally invariant for the π-flux spin liquid dispersion, though we note in the case when B is not condensed, the spinon bands are not gauge invariant and do not appear in any physical observable.